Параметрическое задание функции.
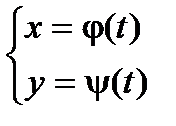
Исследование и построение графика кривой, которая задана системой уравнений вида:
,
производится в общем то аналогично исследованию функции вида y = f(x).
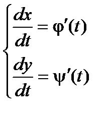
Находим производные:

Теперь можно найти производную
. Далее находятся значения параметра t, при которых хотя бы одна из производных j¢(t) или y¢(t) равна нулю или не существует. Такие значения параметра t называются критическими.
Для каждого интервала (t1, t2), (t2, t3), … , (tk-1, tk) находим соответствующий интервал (x1, x2), (x2, x3), … , (xk-1, xk) и определяем знак производной
на каждом из полученных интервалов, тем самым определяя промежутки возрастания и убывания функции.
Далее находим вторую производную функции на каждом из интервалов и, определяя ее знак, находим направление выпуклости кривой в каждой точке.
Для нахождения асимптот находим такие значения t, при приближении к которым или х или у стремится к бесконечности, и такие значения t, при приближении к которым и х и у стремится к бесконечности.
В остальном исследование производится аналогичным также, как и исследование функции, заданной непосредственно.
На практике исследование функций, параметрически заданных, осуществляется, например, при нахождении траектории движущегося объекта, где роль параметра t выполняет время.
Ниже рассмотрим подробнее некоторые широко известные типы параметрически заданных кривых.
Дата добавления: 2015-08-11; просмотров: 1170;
