Влияние температуры на распределение электронов в металле
Для металлов при не слишком высоких температурах выполняется неравенство kT <E это означает, что электронный газ в металлах практически всегда находится в состоянии сильного вырождения. Температура То вырождения находится из условия kTo = Е . Она определяет границу, выше которой квантовые эффекты перестают быть существенными. Соответствующие расчеты показывают, что для электронов в металле То 104 К, т. е. для всех температур, при которых металл может существовать в твердом состоянии, электронный газ в металле вырожден.
При температурах, отличных от О К, функция распределения Ферми - Дирака плавно изменяется от 1 до 0 в узкой области (порядка kT) в окрестности Е (рис. ). (Здесь же для сравнения пунктиром приведена функция распределения при Т = О К.) Это объясняется тем, что при Т > 0 небольшое число электронов с энергией, близкой к Е , возбуждается за счет теплового движения и их энергия становится больше Й . Соответственно вблизи границы Ферми при Е < Е среднее число электронов меньше единицы, а при Е > Е — больше нуля. В тепловом движении участвует лишь небольшое число электронов, например при комнатной температуре Т 300 К и температуре вырождения Т = 3-104 К,— это 10--5 от общего числа электронов.
Если (Е — Ef) » kT («хвост» функции распределения), то единицей в знаменателе можно пренебречь по сравнению с экспонентой и тогда распределение Ферми - Дирака переходит в распределение Максвелла — Больцмана. Таким образом, при (Е — Е) » kT, т.е. при высоких температурах, к электронам в металле применима классическая статистика, в то же время, когда (Е — Е) < kT, к ним применима только квантовая статистика Ферми — Дирака.
Распределение электронов по различным квантовым состояниям подчиняется принципу Паули, согласно которому в одном состоянии не может быть двух одинаковых (с одинаковым набором четырех квантовых чисел) электронов, они должны отличаться какой-то характеристикой, например направлением спина. Следовательно, по квантовой теории, электроны в металле не могут располагаться на самом низшем энергетическом уровне даже при О К. Принцип Паули вынуждает электроны взбираться вверх «по энергетической лестнице».
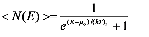
Электроны проводимости в металле можно рассматривать как идеальный газ, подчиняющийся распределению Ферми — Дирака . Если μo — химический потенциал электронного газа при Т = О К, то, среднее число (N(E)) электронов в квантовом состоянии на энергетическом уровне с энергией Е равно
(8)
Из (8) следует, что при Т=0 К функция распределения <N(E)> = 1, если
и
, если
.
|
|
|
|
|
|
|
|
|
|
|
|
|
Рис. 1
График этой функции приведен на рис. 1 , а. В области энергий от 0 до
функция
равна единице. При
она скачкообразно изменяется до нуля.
Это означает, что при Т=0 К все нижние квантовые состояния, вплоть до состояния с энергией
, заполнены электронами, а все состояния с энергией, большей
, свободны.
Следовательно,
есть не что иное, как максимальная энергия, которую могут иметь электроны проводимости в металле при О К.
Эта максимальная энергия называется энергией Ферми и обозначается
.Поэтому распределение Ферми — Дирака обычно записывается в виде
(9)
Наивысший энергетический уровень, занятый электронами, называется уровнем Ферми. Уровню Ферми соответствует энергия Ферми Е , которую имеют электроны на этом уровне. Уровень Ферми, очевидно, будет тем выше, чем больше плотность электронного газа. Работу выхода электрона из металла нужно отсчитывать не от дна «потенциальной ямы», как это делалось в классической теории, а от уровня Ферми, т. е. от верхнего из занятых электронами энергетических уровней.
Дата добавления: 2015-08-11; просмотров: 2335;
