Классическая механика как частный случай релятивистской механики
Легко убедиться в том, что если скорости v, и' и и малы по сравнению со скоростью света с, то формулы (2.8) и (2.9) переходят в закон сложения скоростей в классической механике. Таким образом, законы релятивистской механики в предельном случае для малых скоростей (по сравнению со скоростью света) переходят в законы классической физики, которая, следовательно, является частным случаем механики Эйнштейна для малых скоростей.
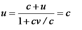
Релятивистский закон сложения скоростей подчиняется второму постулату Эйнштейна. Действительно, если и' = с, то формула (2.9) примет вид

(аналогично можно показать, что при и = с величина и' также равна с).Этот результат является очередным подтверждением справедливости специальной теории относительности.
Докажем также, что если складываемые скорости сколь угодно близки к скорости света с, то их результирующая скорость будет всегда меньше с. В качестве примера рассмотрим предельный случай и' = v = с. После подстановки в формулу (2.9) получим и = с. Таким образом, при сложении любых скоростей результат не может превысить скорости света с в вакууме. Скорость света в вакууме есть предельная скорость, которую невозможно превысить. Скорость света в какой-либо среде, равная с/n (n — абсолютный показатель преломления среды), предельной величиной не является .
Дата добавления: 2015-08-11; просмотров: 1944;
