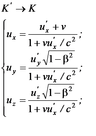
Согласно преобразованиям Лоренца

Произведя соответствующие преобразования, получаем релятивистский закон сложения скоростей специальной теории относительности:
(2.8)
Если материальная точка движется параллельно оси х, то скорость и относительно системы К совпадает с
а скорость и' относительно К' равна cu'
. Тогда закон сложения скоростей примет вид
,
. . (2.9)
Дата добавления: 2015-08-11; просмотров: 887;
