Высотная характеристика РД
Высотная характеристика РД- зависимость тяги и удельного импульса от давления окружающей среды при постоянном давлении в камере сгорания и соотношения компонентов. Зависимость атмосферного давления от высоты полета принимают в соответствии с табличными данными стандартной атмосферы.
Рассмотрим режимы работы сопла.
Характеристикой работы сопла служит отношение давления окружающей среды к давлению рабочего тела на выходе из сопла
, величину
называют степенью нерасчетности. Расчетный режим работы сопла наступает при
. Если
, то течение в сопле называют недорасширенным, а при
- перерасширенным. Именно расчетный режим является рациональным для двигателя: если течение недорасширенное, то рабочее тело покидает сопло, не оказывая давление на несуществующую стенку сопла, хотя согласно формуле для тяги разность
значительна, но скорость истечения меньше, чем в расчетном режиме. Получается, что не полностью используется энергия движущегося по соплу потока. На режиме перерасширения низкое значение давления в концевой части сопла, даже при безотрывном течении, дает малое приращение тяги ввиду противодействия более высокого давления окружающей среды.
Определенным вариантом является создание конструкции сопла, в которой по мере изменения внешнего давления происходит изменение диаметра выходного сечения так, что все время работы двигателя
. Но конструктивные сложности не позволили реально разработать такой двигатель.
На режимах работы сопла со значительным перерасширением (степень нерасчетности достигает некоторого предельного значения) поток отрывается от стенок сопла, как показано на рис. 15.2. Возмущения из внешней среды могут передаваться вверх по потоку только по дозвуковой области пограничного слоя. При
кинетической энергии потока в пограничном слое достаточно для преодоления перепада давления в скачке уплотнения на срезе сопла из-за нерасчетности режима истечения, и отрыв не возникает. При
возникает отрыв потока, и вглубь сопла начинает двигаться мостообразный скачок уплотнения. Качественное распределение давления вдоль контура сопла при отрыве потока показано на рис. 15.2. На участке отрыва давление существенно больше по сравнению с безотрывным течением. Отношение давлений
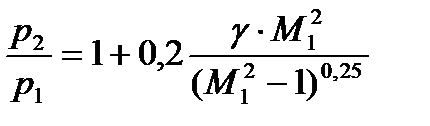
соответствует критическому перепаду и не зависит от типа отрывного сверхзвукового течения. Для турбулентного пограничного слоя критический перепад зависит от числа
перед областью отрыва

;
.

Рис 15.2. Схема течения в круглом сопле с отрывом потока
При режиме работы сопла с отрывом потока формулы, полученные для безотрывного течения, становятся недействительными.
Дата добавления: 2015-08-11; просмотров: 1728;
