Динамические свойства транзистора при включении с общей базой
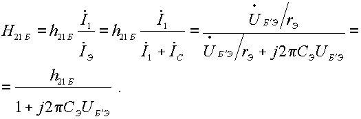
Рассмотрим высокочастотную малосигнальную физическую эквивалентную схему транзистора при включении с ОБ (рис 3.41). По сравнению с аналогичной низкочастотной схемой (рис. 3.37) в нее добавлена емкость эммитерного перехода CЭ, состоящая из диффузионной CЭД и барьерной CЭБ емкостей. В общем случае CЭ=CЭД+CЭБ. Но для прямо смещенного перехода CЭ» CЭДд. Кроме того, параллельно обратно смещенному коллекторному переходу включена емкость CК =CКБ + СКД » CКБ. Генератор тока может быть представлен двумя способами: в первом случае он управляется током с комплексной амплитудой
, протекающим через r э, что сответствует базовым моделям Эберса - Молла. Отметим, что при появлении емкости CЭ ток
. При этом ток генератора равен h21Б
, где h21Б - низкочастотное значение параметра. Во втором случае генератор управляется током эмиттера с комплексной амплитудой
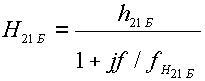
. При этом необходимо ввести частотнозависимый параметр H21Б так, чтобы ток генератора не изменился, тогда
,причем
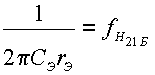
(3.63)
Обозначим:
, где fH21Б - предельная частота коэффициента передачи тока эмиттера.
Тогда:
. (3.64)
В литературе часто используют и другие обозначения: вместо H21б – a~, вместо fH21Б – fa . Найдем из (3.64) модуль
и фазовый угол
коэффициента передачи тока эмиттера
.
; (3.65)
(3.66)
Зависимость коэффициента передачи тока эмиттера от частоты приведена на рис. 3.42.
Таким образом, с ростом частоты коэффициент
убывает.
На частоте f=fH21Б модуль
.
Отсюда следует физическое определение предельной частоты коэффициента передачи тока эмиттера:
представляет частоту, на которой Ѕ H21БЅ уменьшается в
раз по сравнению с низкочастотным значением h21Б. Из формулы (3.66) также следует, что с ростом частоты увеличивается запаздывание по фазе тока коллектора
относительно тока эмиттера
. На частоте f21Б сдвиг составляет 45 ° . Максимальный сдвиг (при f® Ґ ) составляет 90 ° . Из выражения (3.63) следует, что предельная частота f H21Б определяется постоянной времени t ОБ заряда полной емкости CЭ эмиттерного перехода. Можно показать, что
tОБ»
+ tпрБ+
(3.67)
и включает в себя :
СЭБrЭ - постоянную времени заряда барьерной емкости эмиттерного перехода;
tпрБ - время диффузии носителей через базу;
tКП - время пролета через коллекторный переход.
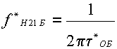
На практике величина
измеряется (в режиме короткого замыкания выходной цепи по переменной составляющей RН® 0 ) и по ней с помощью (3.63) (иногда по более точным формулам) рассчитывается CЭ. По величине
можно судить об усилительных свойствах транзистора на высоких частотах в схеме с ОБ ( строго говоря, при малом сопротивлении нагрузки). Для увеличения
следует уменьшать время пролета носителей через структуру транзистора ( в первую очередь, через базу и обедненную область коллекторного перехода). Дополнительную инерционность вносит барьерная емкость коллекторного перехода, не влияющая на величину
. В реальных схемах она перезаряжается через сопротивление нагрузки RН. Ее влияние существенно, если CКRН соизмеримо с tОБ. Отметим, что влияние CК усиливается при возрастании сопротивления нагрузки RН. Во многих случаях высокочастотную схему упрощают, исключая CК.
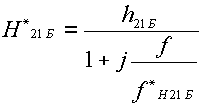
При этом вводят
t *ОБ=t ОБ+CКR (3.68) и
;
. (3.69)
используют для описания частотной зависимости генератора тока. В эквивалентной схеме при этом остается один частотнозависимый элемент H*21Б. Такой подход вносит дополнительную погрешность, но широко используется для оценки границ частотного диапазона усилительных каскадов и при анализе длительности фронтов в импульсных схемах.
Дата добавления: 2015-08-11; просмотров: 957;
