Организация ступенчатого испарения в барабанном котле.
Увеличение доли продувки приводит к уменьшению примесей в котловой воде Ск.в (11.42) и в насыщенном паре Сп (11.41), но увеличивает потери теплоты и воды с продувочной водой. Улучшить качество котловой воды и пара без увеличения продувки барабанного котла можно путем организации ступенчатого испарения.
Существуют различные способы организации ступенчатого испарения, в частности внутри барабана устанавливают перегородку (рис.11.31,а,б, рис.11.31,в,г)

Питательная вода поступает в отсек 7, в который включены некоторые контуры циркуляции. Часть воды испаряется в них, при этом образуется пар в количестве DI (доля его nI = DI /D). Оставшаяся вода перетекает через отверстие в перегородке во второй отсек. В контурах циркуляции, включенных в этот отсек, вода испаряется с образованием пара DII (nII = DI1/D). Продувка котла производится из второго отсека, причем Ск.вI = Cк..вII
Определим Ск.вI и Ск.вII. Для первого отсека по (11.42)
| (11.44) |
где продувка первого отсека равна паропроизводительности второго отсека nII и продувке котла
| (11.45) |
Если принять при двухступенчатой схеме nII = 20%, nI = 80%, КвI = 0, р = 1%, то получим степень концентрации γI примеси в первом отсеке
| (11.46) |
Следовательно, в первом отсеке котловая вода стала чище примерно в 20 раз (101:4,8) по сравнению с одноступенчатой схемой.
Для второго отсека питательной водой является котловая вода первого отсека с концентрацией примесей Ск.вI
| (11.47) |
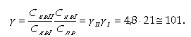
Отношение γII при КвII = 0 и р = 1 %
| (11.48) |
По отношению к Сп.в
| (11.49) |
Концентрация примесей в котловой воде второй ступени значительно выше, чем в первой ступени (в 21 раз), и соответствует концентрации в одноступенчатой схеме. Поэтому первый отсек называют чистым, а второй отсек - солевым. Выигрыш ступенчатого испарения заключается в том, что 80% котловой воды и, следовательно, пара получаются значительно чище (в 20 раз при р = 1%, Кв = 0, nI = =80%), только 20% котловой воды и пара имеют такую же концентрацию.
Дата добавления: 2015-07-10; просмотров: 1512;
