Замена независимых переменных в выражении, содержащем частные производные.
Если в дифференциальном выражении

положить
, (8)
где
и
новые независимые переменные, то частные производные
определяются из следующих уравнений:
,
.
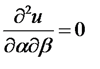
Пример 6. Уравнение колебаний струны
преобразовать к новым независимым переменным
и
.
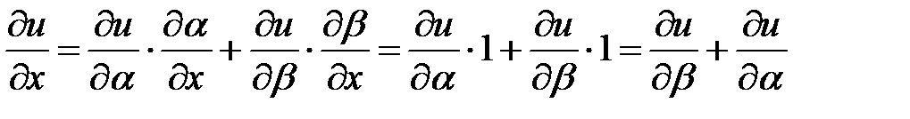
Решение. Выразим частные производные от
по
и
через частные производные от
по
и
.
Очевидно,
,
.
Дифференцируем вторично, применяя ту же формулу
,
.
Подставив в уравнение, получим 
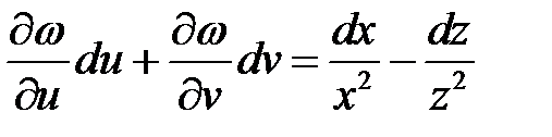
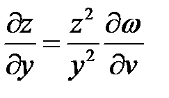
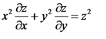
Пример 7.Преобразовать уравнение
, приняв за новые независимые переменные
,
и за новую функцию
.
Решение. Выразим частные производные
и
через частные производные
и
. Для этого продифференцируем данные соотношения между старыми и новыми переменными:
.
С другой стороны,
.
Поэтому

или
.
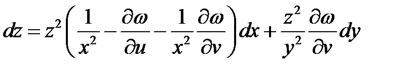
Отсюда

и, следовательно,
и
.
Подставляя эти выражения в данное уравнение, получим
или
.
Дата добавления: 2015-08-11; просмотров: 5302;
