Генераторы линейно изменяющегося напряжения.
Генераторы линейно изменяющегося напряжения (ГЛИН) формируют напряжение пилообразной формы (рис. 16.5б), которое необходимо для создания разверток на экранах осциллографов, телевизоров и др. индикаторов, для преобразователей аналоговых величин в цифровые, преобразователей амплитуда-время и для др. целей.
Для формирования линейно изменяющегося напряжения, чаще всего используют заряд или разряд конденсатора постоянным током. Простейшая схема ГЛИН приведена на рис. 16.5а. При разомкнутом ключе К конденсатор С заряжается от источника тока I и напряжение на нем нарастает по закону:
(16.12)
т. е. по линейному закону. В момент времени t1 ключ К замыкается и конденсатор разряжается через резистор R и ключ К по экспоненциальному закону.
Разработано много схем ГЛИН. Большими преимуществами обладают схемы на ОУ. В них в качестве источника постоянного тока применяются интеграторы на ОУ, а в качестве ключа – компараторы.
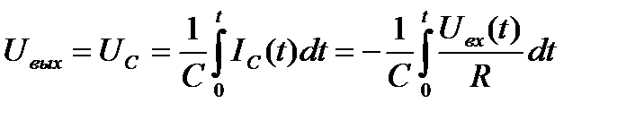
Схема интегратора на ОУ приведена на рис. 16.5в. Очевидно, что
;
. Так как
, то
, причем:
.
Мы уже установили, что для ОУ напряжение между входами
. Поэтому Uвых=UC, причем:
.
Если напряжение на входе ОУ постоянное, то получаем:

линейно изменяющееся напряжение. Знак приращения обратный знаку входного напряжения.
Схема ГЛИН с внешним управлением приведена на рис. 16.6а. На рис. 16.6б приведены диаграммы напряжений, поясняющие его работу.
Схема состоит из компаратора и интегратора. В исходном состоянии напряжение управления UУ = 0. Под воздействием напряжения Е0 компаратор находится в состоянии отрицательного насыщения. Под воздействием этого напряжения конденсатор С заряжается до
.
Пусть в момент времени t1 на прямой вход поступает прямоугольный импульс, амплитуда которого Um > E0. Компаратор переходит в положительное насыщение, т. е. напряжение на его выходе
. Это напряжение является входным для интегратора. Открывается диод D1, начинается перезаряд конденсатора С до
. Напряжение UГЛИН убывает по линейному закону в соответствии с выражением:

По окончании импульса компаратор регенеративно переходит в отрицательное насыщение (под воздействием Е0). Диод D1 закрывается. Открывается диод D2. Начинается перезаряд конденсатора С до напряжения
. Напряжение UГЛИН возрастает по линейному закону, т. е.

Максимального значения оно достигает за время t = R2C. Если пауза
, то ГЛИН переходит в устойчивое состояние (
) до поступления следующего импульса управления.
Кроме рассмотренной схемы, часто применяются ГЛИН в автоколебательном режиме. Чтобы получить такой ГЛИН достаточно в схему рис. 16.6а ввести ОС – R3, R4 на прямой вход компаратора с выходов компаратора и интегратора (пунктир на рис. 16.6а). Напряжение обратной связи UОС будет определяться напряжением на выходе компаратора
и напряжением на выходе интегратора UГЛИН. На рис. 16.6в приведены временные диаграммы, поясняющие работу генератора.
Пусть в момент времени t1 = 0 компаратор перешел в состояние отрицательного насыщения. Его
. Открывается диод D2 и на интеграторе начинается формирование линейно нарастающего напряжения UГЛИН. Напряжение обратной связи UОС найдем методом суперпозиции:
(16.13)
где
- линейно нарастающее напряжение UГЛИН.
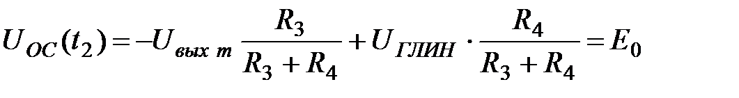
Видим, что UОС также линейно нарастает. В момент времени t2 наступает равенство UOC = Е0. Компаратор переключается, напряжение его на выходе скачком изменяется до
. Напряжение интегратора скачком измениться не может. Поэтому напряжение обратной связи скачком увеличивается до величины:
(16.14)
Напряжением
открывается диод D1. На интеграторе начинается формирование линейно падающего напряжения. Напряжение UOC также линейно убывает и в момент t3 принимает значение:

Компаратор вновь переключается и далее процесс периодически повторяется.
Рассмотрим пример.
Пусть в схеме компаратора R3 = 10 кОм; R4 = 50 кОм; Е0 = 1 В;
= ±10 В.
Определим UГЛИН и UОС в моменты времени t1; t2; t3.
1. В момент времени t1 включается питание. Напряжение на выходе компаратора:

Конденсатор С до включения питания был разряжен. Напряжение UC = 0 и скачком измениться не может. Значит
и в соответствии с (16.13):

- Для момента времени t2:
.
Отсюда определим UГЛИН:
.
Определим значение
сразу после переключения, когда значение
, а UГЛИН еще не изменилось:
.
- Для момента времени t3
Напряжение на выходе компаратора
. Напряжение обратной связи UOC:
.
Здесь UГЛИН (t3) – минимальное.
Определим это значение :
.
Напряжение UОС (t3) определим сразу после переключения, когда значение
, а UГЛИН (t3) = -0,79 В.

Далее значение UГЛИН периодически изменяется от –0,79 В до 3,2 В, а UОС от –2,32 В до 4,31 В.
ЦИФРОВЫЕ УСТРОЙСТВА
Лекция 25. Введение в цифровую электронику (6часов)
Дата добавления: 2015-08-11; просмотров: 1412;
