Физические основы построения сварочного трансформатора
Известно, что для неразветвленного магнитопровода с зазором закон полного тока имеет вид: 
(12.1)
где: lФМ, lЗ - длина ферромагнитного участка и воздушного зазора соответственно;
НФМ, НЗ - действующее значение напряженности магнитного поля на участках ферромагнитного материала и воздушного зазора соответственно;
I - действующее значение тока в намагничивающей обмотке.
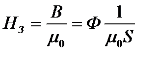
Учитывая, что
, (12.2)
а также что:
(12.3)
перепишем (12.1):
. (12.4)
Так как относительная магнитная проницаемость
магнитомягких материалов в десятки тысяч раз больше магнитной проницаемости воздуха m0, то очевидно, что

Поэтому вместо (12.4) можно использовать приближенное равенство:
. (12.5)
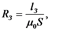
Подставляя в (12.5) вместо RЗ его значение из (12.3), а вместо:
,
определим ток цепи:
. (12.6)
Теперь очевидно, что ток в цепи магнитопровода с зазором можно регулировать, изменяя длину воздушного зазора. Это свойство и используется в сварочных аппаратах для регулирования тока дуги.
Дата добавления: 2015-08-11; просмотров: 808;
