Методы анализа разветвленных нелинейных цепей
1. Метод эквивалентного генератора.
Рекомендуется, если в цепи есть 1 нелинейный элемент.
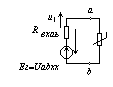
а) выделяем ветвь с н.э., представляя остальную часть схемы в виде активного двухполюсника.
б) определяем входное сопротивление двухполюсника относительно выделенных зажимов 
в) любым методом (законами Кирхгофа, контурными токами…) рассчитываем Uxx на разомкнутых зажимах в ветви ab Uabxx
г) остальная часть задачи может решаться графически
|
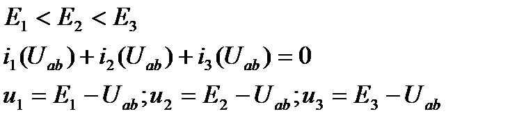
В одной системе координат строим все относительно оси ординат.
Точки пересечения перпендикуляра, восстановленного из uab с ВАХ элементов дают значения токов по величине и знаку. i(uab) – суммарная ВАХ 3-х ветвей.
Для построения ВАХ НСэкв, полученную характеристику i(uab) переносим параллельно самой себе в начало координат и зеркально отражаем.

Дата добавления: 2015-08-11; просмотров: 1093;
