Влияние С и L на форму кривых U и I.
; ;
|
Для высших гармоник в кривой тока в k раз больше, чем в кривой напряжения.
Емкость сглаживает кривую напряжения.
Резонансные явления
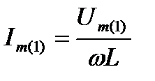
1. Резонанс напряжений.
Условие резонанса токов на k-ой гармонике:
|
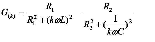
Условие резонанса на k-ой гармонике:
x
(k-я гармоника тока усиливается)
|
2. Резонанс токов.
(идеальная цепь) (Подавление k-ой гармоники)
|
Дата добавления: 2015-08-11; просмотров: 1092;

;
;
(k-я гармоника тока усиливается)
(Подавление k-ой гармоники)