Резонанс напряжений
Резонанс напряжений возникает в цепи с последовательным включением элементов (рис.5.5).
Известно, что комплексное сопротивление токов цепи определяется выражением
.
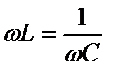
По определению резонанс в цепи рис.5.5 наступает, когда выполнится условие
.
Отсюда видно, что резонанс в цепи возникает на частоте
.
Очевидно также, что
,
.
Видим, что полученные выражения полностью соответствуют (6.9) и (6.10). Это подтверждает единство физической сути различных видов резонанса.
Определим ток и напряжение всей цепи, а также падение напряжения на ее отдельных элементах в режиме резонанса.
Так как сопротивление всей цепи в режиме резонанса минимально и равно R то ток в ней максимален и равен
, (6.17)
а падение напряжения определяется ЭДС источника - Е.
Падение напряжения на отдельных элементах легко найти по закону Ома. Так, падение напряжения на резисторе R равно
. (6.18)
Тривиальный математически результат интересен по физической сути. Все напряжение источника выделяется на одном элементе цепи.
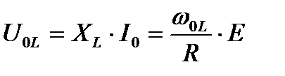
Падение напряжения на индуктивности равно
. (6.19)
Величина
(6.20)
называется добротностью и может принимать значение десятков и сотен единиц. Значит, падение напряжения на индуктивности может в десятки и сотни раз превышать ЭДС источника.
Падение напряжения на емкости равно
. (6.21)
Так как
, то падение напряжения на емкости равно по величине падению напряжения на индуктивности, но согласно (5.8) они противоположны по знаку. Отношение напряжения на индуктивности или на емкости в режиме резонанса к току в этом режиме называют характеристическим сопротивлением
, причем
. (6.22)
В силу того что
,
рассматриваемый режим назван резонансом напряжений. Противофазность напряжений
и
указывает на то, что в цепи происходит такой же колебательный процесс с частотой
, как и в параллельном колебательном контуре.
Здесь также энергия источника затрачивается только на преодоление сопротивления резистора R. Поэтому цепь называется последовательным колебательным контуром.
Завершим анализ резонанса напряжений разбором частотной зависимости тока цепи рис.5.5. и падений напряжений на элементах L и С от частоты (рис.5.6). На рисунке пунктиром отмечен график ЭДС. Падение напряжения на идеальной индуктивности при
равно нулю. С увеличением частоты сопротивление индуктивности, а значит и падение напряжения на ней увеличивается. Когда частота устремляется в бесконечность сопротивление ХL также устремляется в бесконечность. При этом падение напряжения стремится к Е. Между крайними точками существует экстремум напряжения
,который находится по формуле:
. (6.23)
Частота, на которой достигается этот максимум, определяется выражением
. (6.24)
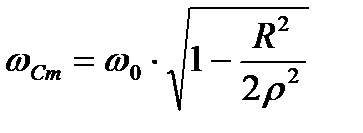
Сопротивление емкости на частоте
равно бесконечности и значит, напряжение на ее обкладках равно Е. С увеличением частоты сопротивление ХС уменьшается, а при
стремится к нулю. Между крайними точками также существует экстремум причем
. (6.25)
Частота, на которой достигается этот максимум, определяется выражением
. (6.26)
Так как подкоренное выражение в (6.24) и (6.26) всегда меньше единицы то очевидно, что
.
Кроме того
.
В силу этих особенностей единственным верным признаком наступления резонанса в цепи является максимум тока, значение которого изменяется с изменением частоты по резонансной кривой.
Рассмотренные выше случаи параллельного и последовательного соединения R, L и C могут быть также проанализированы с точки зрения повышения cosφ для электроустановок. Известно, что cosφ является технико-экономическим параметром в работе электроустановок. Определяется он по формуле:
,
где Р - активная мощность электроустановок, кВт,
S - полная мощность электроустановок, кВт.
На практике cosφ определяют снятием со счетчиков показаний активной и реактивной энергии, и разделив одно показание на другое, получают tgφ. Далее по таблицам находят и cosφ.
Чем больше cosφ, тем экономичнее работает энергосистема, так как при одних и тех же значениях тока и напряжения (на которые рассчитан генератор) от него можно получить большую активную мощность.
Снижение cosφ приводит к неполному использованию оборудования и при этом уменьшается КПД установки. Тарифы на электроэнергию предусматривают меньшую стоимость 1 киловатт-часа при высоком cosφ, в сравнении с низким.
К мероприятиям по повышению cosφ относятся:
- недопущение холостых ходов электрооборудования,
- полная загрузка электродвигателей, трансформаторов и т.д.
Кроме этого, на cosφ, положительно сказывается подключение к сети статических конденсаторов.
Дата добавления: 2015-08-11; просмотров: 942;
