Определение необходимой степени очистки сточных вод
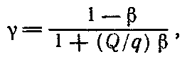
Для того чтобы определить степень очистки или разбавления сточных вод до их сброса в водоток, необходимо учесть ряд гидрологических характеристик. Для этого и существует интегральный показатель — коэффициент γ, определяемый по формуле Фролова—Родзиллера (35):

где (36)

Здесь L — расстояние по фарватеру от места выпуска сточных вод до ближайшего створа водопользования, м; α — коэффициент, учитывающий гидравлические условия смешения и определяемый по формуле (37)

где φ — отношение расстояний между местом сброса сточных вод и местом водопользования по фарватеру и по прямой линии; ξ — коэффициент, принимаемый равным 1 при береговом и 1,5 — при стрежневом выпуске сточных вод; Е — коэффициент турбулентной диффузии, который для равнинных рек определяется по средней скорости течения Vср (в м/с) и средней глубине радиуса Hср, м (38):

Окончательно кратность разбавления или степень очистки сточных вод (39):

При поступлении сточных вод в непроточные водоемы (озера, водохранилища и т. п.) для аналогичных расчетов используется метод И. А. Руффеля, который мы здесь подробно не рассматриваем. Считается, что полное разбавление сточных вод nполн в воде водоема является результатом совместного влияния начального разбавления nнач, происходящего вблизи водовыпуска за счет скорости и турбулентности струи, и основного nосн, осуществляющегося вследствие диффузии (40):

Значение nнач определяется по дополнительным формулам в зависимости от особенностей выпуска (глубинный, поверхностный), а nосн — по графикам-номограммам, приводимым в нормативных документах.
Дата добавления: 2015-08-11; просмотров: 880;
