Свойство взаимности

Если в ветвь «n» электрической цепи включить единственный источник ЭДС En, то в ветви «m» он создаст ток Im и тот же источник ЭДС Em = En, включенный в ветвь «m», создаст в ветви «n» ток In = Im.

Или иначе:

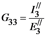
Взаимная проводимость двух любых ветвей определяется отношением тока в одной ветви к ЭДС в другой при равных нулю ЭДС в остальных ветвях, а взаимное сопротивление двух ветвей обратно взаимной проводимости тех же ветвей.

Рассмотрим электрическую цепь:

Найти ток I3

Преобразуем схему к виду:

Здесь . Пусть Тогда ; ; ; .

Следующее преобразование схемы имеет вид:

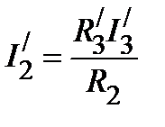
Здесь ; . Пусть Тогда   ; .

Наконец последнее преобразование схемы дает:

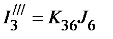
Здесь ; . Пусть .   Тогда ; ; .   Коэффициент передачи: .  

 

; ; .

 

.

Принцип взаимности был установлен Кирхгофом. Обычно этот метод эффективен при расчете цепей с ограниченном числом источников.








Дата добавления: 2015-08-11; просмотров: 856;


Поиск по сайту:

При помощи поиска вы сможете найти нужную вам информацию.

Поделитесь с друзьями:

Если вам перенёс пользу информационный материал, или помог в учебе – поделитесь этим сайтом с друзьями и знакомыми.
helpiks.org - Хелпикс.Орг - 2014-2026 год. Материал сайта представляется для ознакомительного и учебного использования. | Поддержка
Генерация страницы за: 0.005 сек.