Метод эквивалентного источника тока
(теорема Нортона)
Активный двухполюсник по отношению к рассматриваемой ветви можно заменить эквивалентным источником тока, ток которого равен току в этой ветви, замкнутой накоротко, а внутренняя проводимость источника равна входной проводимости двухполюсника.
Применим этот метод к выше рассмотренной электрической цепи.
Требуется найти ток I1 и ток I3.
Ищем ток I1.
Представим схему в следующем виде:
| Е1 |
| Е2 |
| R2 |
| A |
| B |
| J3 |
| R3 |
| JКЗ1 |
| I2 |
| I3 |
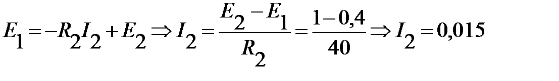
Из схемы следует:
А;
А.
Ток короткого замыкания JKЗ1 найдем из первого закона Кирхгофа:
А.
Входную проводимость к зажимам А, В найдем согласно схеме:
| G2 |
| G3 |
| B |
| A |
.
Находим ток I1.
А.
Ищем ток I3.
В этом случае схема приобретает вид:
| I2 |
| E1 |
| E2 |
| J3 |
| JКЗ3 |
| А |
| В |
| R1 |
| R2 |
| I1 |
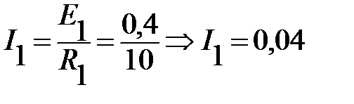
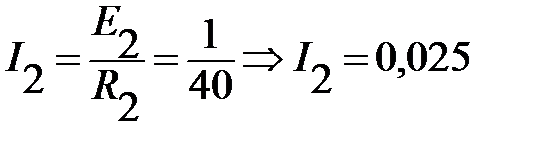
Согласно схеме находим токи I1, I2:
А;
А.
Ток короткого замыкания JKЗ3 найдем из первого закона Кирхгофа:
А.
Входную проводимость к зажимам А, В найдем согласно схеме:
| G2 |
| G1 |
| А |
| В |
.
Находим ток I3.
А.
Дата добавления: 2015-08-11; просмотров: 1033;
