Метод эквивалентного источника напряжения
(теорема Гельмгольца-Тевенена)
Метод основан на теореме об эквивалентном источнике, когда активный двухполюсник по отношению к рассматриваемой ветви может быть заменен эквивалентным источником напряжения, ЭДС которого равна напряжению холостого хода на зажимах этой ветви, а его внутреннее сопротивление равно входному сопротивлению двухполюсника.
Рассмотрим электрическую цепь.
| Дано E1 = 0,4 B; E2 = 1 B; J3 = 0,03 A; R1 = 10 Ом; R2 = 40 Ом; R3 = 20 Ом; Определить Найти ток I1 и ток I3 |
| E1 |
| E2 |
| J3 |
| R1 |
| R2 |
| R3 |
| I3 |
| I2 |
| I1 |
Решение
Ищем ток I1.
Представим исходную схему в следующем виде:
| UXX |
| E1 |
| E2 |
| J3 |
| R2 |
| R3 |
| I3 |
| I2 |
| А |
| В |
| IK3 |
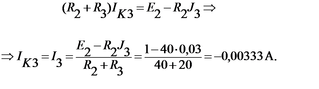
Для выделенной структуры составим уравнение по методу контурных токов и найдем ток I3:

Теперь можем найти напряжение холостого хода между зажимами А и В:
В.
Входное сопротивление к зажимам А, В найдем согласно схеме:
| R2 |
| А |
| В |
| R3 |
Ом.
Находим ток I1:
A.
Ищем ток I3.
Представим исходную схему в виде:
| UXX |
| E1 |
| E2 |
| R2 |
| R1 |
| J3 |
| I1 |
| I2 |
| IK1 |
| А |
| В |
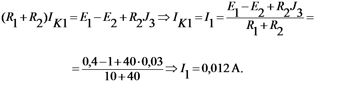
Для данной схемы уравнение по методу контурных токов будет иметь вид:

Тогда
В.
Входное сопротивление к зажимам А, В найдем согласно схеме:
| B |
| R1 |
| R2 |
| A |
Ом.
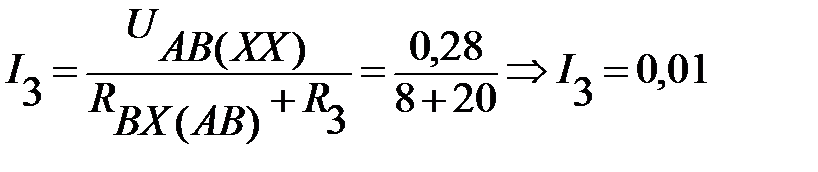
Находим ток I3:
А.
Рассмотрим электрическую цепь, в которой активный двухполюсник подключен к ветви с последовательно включенными сопротивлениями и амперметром.
| А |
| R1 |
| K1 |
| K2 |
| R2 |
| А |
| U12 |
Из опыта известны два показания амперметра: тока IA1, когда оба ключа разомкнуты и тока IA2, когда ключ K1 замкнут, а ключ K2 разомкнут.
Требуется вычислить показания амперметра при разомкнутом ключе K1 и замкнутом ключе K2 (см. рисунок).
Составляем уравнения для всех трех режимов:
1.
; 2.
; 3.
,
где
- напряжение холостого хода на зажимах исследуемой ветви.
Тогда из первого уравнения
.
Из второго уравнения находим входное сопротивление двухполюсника.
;
После чего находим ток IА3.
Дата добавления: 2015-08-11; просмотров: 1187;
