Метод наложения. При действии нескольких источников напряжения и токов в линейной электрической цепи неизвестные токи в ветвях такой цепи можно найти суммированием токов от

При действии нескольких источников напряжения и токов в линейной электрической цепи неизвестные токи в ветвях такой цепи можно найти суммированием токов от каждого источника в отдельности. При этом, исключенные из схемы источники заменяют их внутренними сопротивлениями, закорачивая источники ЭДС и размыкая источники тока. Рассмотрим электрическую цепь. Пользуясь методом наложения, определим токи в ветвях схемы.

I1
I2
I3
R3
R2
J2
E1
R1

R1
E1
R3
R2
R1

J2
R3
R2

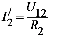
Исключив из схемы источник тока J2 , найдем частичные токи в ветвях под воздействием источника ЭДС E1.

; .

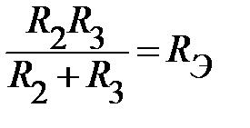
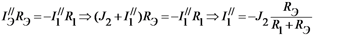
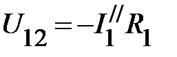
Теперь исключим из схемы источник E1 и найдем частичные токи в ветвях от воздействия источника тока J2. Согласно первому закону Кирхгофа имеем: , тогда положив, можем записать:

.

; ; .

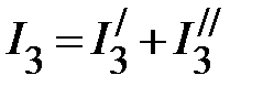
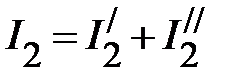
Истинные значения токов в ветвях найдем из соответствующих сумм частных токов:

; ; .

Рассмотренный метод, однако, не применим при вычислении мощностей, так как мощность есть квадратичная функция тока или напряжения.

 








Дата добавления: 2015-08-11; просмотров: 837;


Поиск по сайту:

При помощи поиска вы сможете найти нужную вам информацию.

Поделитесь с друзьями:

Если вам перенёс пользу информационный материал, или помог в учебе – поделитесь этим сайтом с друзьями и знакомыми.
helpiks.org - Хелпикс.Орг - 2014-2026 год. Материал сайта представляется для ознакомительного и учебного использования. | Поддержка
Генерация страницы за: 0.005 сек.