Метод контурных токов. При расчете сложной электрической цепи можно ограничиться совместным решением уравнений составленных по второму закону Кирхгофа для токов
При расчете сложной электрической цепи можно ограничиться совместным решением уравнений составленных по второму закону Кирхгофа для токов, замыкающихся по независимым контурам схемы, число которых определяют из выражения
. Направление контурного тока следует выбирать по направлению тока в ветви, входящей только в этот контур.
При составлении уравнений следует пользоваться следующими правилами:
1. В левой части уравнений записывают алгебраическую сумму всех падений напряжения на элементах (резисторах), от протекания по ним контурного тока, а также падения напряжения на тех элементах, через которые протекают контурные токи смежных контуров. Причем, эти падения напряжения записывают со знаком плюс, если направления смежных контурных токов совпадает с контурным током рассматриваемого контура и со знаком минус – если не совпадает.
2. В правой части уравнений записывают все ЭДС, входящие в рассматриваемый контур со знаком плюс, если их направление совпадает с направлением контурного тока и со знаком минус, если не совпадает.
3. Если схема содержит источники тока, то токи источников образуют свои замкнутые контуры связи, причем в эти контуры не должны входить ветви, по которым выбраны направления контурных токов. Если вызванные током источника падения напряжения на элементах совпадают с контурным током, то в правой части уравнений они записываются со знаком минус, если не совпадает – со знаком плюс.
Рассмотрим электрическую цепь, содержащую источники ЭДС и тока. Требуется найти токи во всех ветвях.
| IК1 |
| IК4 |
| R1 |
| E1 |
| E2 |
| E4 |
| I1 |
| I2 |
| I3 |
| I4 |
| I5 |
| R5 |
| R4 |
| R3 |
| R2 |
| J5 |
| J3 |
Для приведенной схемы
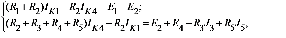
, т.е. необходимо составить систему из двух уравнений. Направление контурного тока IK1 выбираем по направлению тока I1 первой ветви, а контурного тока IK4 выбираем по направлению тока I4 четвертой ветви.

где
IK1 = I1 и IK4 = I4.
Тогда
;
;
или
.
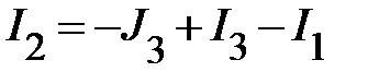
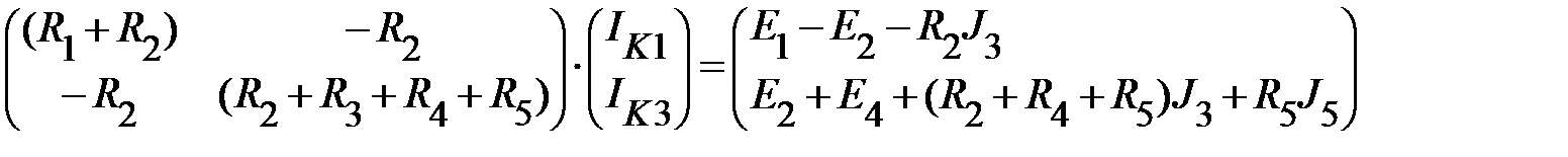
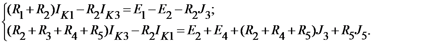
Если направление контурного тока выберем по направлению тока, например, в третьей ветви IK3 = I3, то система уравнений примет вид:
Или в матричной форме:
.
Дата добавления: 2015-08-11; просмотров: 816;
