ХАРАКТЕРИСТИКА ИСПАРИТЕЛЬНЫХ СИСТЕМ
Движение потока пароводяной смеси сопровождается потерей энергии и снижением давления. Общий перепад давления складывается из его потерь на преодоление трения и местных сопротивлений, потерь, связанных с ускорением потока и нивелирной составляющей давления, необходимого для подъема пароводяной смеси на другой уровень.
Для установившегося одномерного потока вязкой жидкости ее движение в вертикальной трубе описывается уравнением Навье Стокса.
Общий перепад давления на отрезке трубы высотой ℓ определится интегрированием уравнения Навье — Стокса по частям:
(6.1)
где w — скорость жидкости, м/с; р — давление, Па; Δртр.м - потеря давления на трение и местные сопротивления, Па; dl — элементарный участок трубы; γ — удельный вес жидкости, Н/м3
В правой части уравнения первый член — нивелирная составляющая, то есть перепад давления для подъема жидкости на высоту ℓ при постоянном ее удельном весе, равный давлению столба жидкости, Па,
Δрнив = γℓ. (6.2)
Второй член правой части уравнения (6.1) — потери давления на трение и местное сопротивление.
Третий член — потеря давления на ускорение потока Па, при ρ’w”= ρ”w” определяется из выражения
Δр = ρw (w” - w'). (6.3)
При двухфазном потоке потеря давления от его ускорения Δруск, Па, определяется по формуле
Δруск =
∙ (xк – xн), (6.4)
где хк, и хн—конечное и начальное массовые паросодержания среды на участке.
Потеря давления на трение для однофазного турбулентного потока Δртр, Па, определяется по формуле
Δртр = λ0lρw2/2 (6.5)
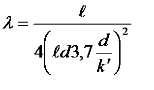
где λ0=λdвм — приведенный коэффициент трения; λ— коэффициент трения, зависящий от относительной шероховатости поверхности трубы k=k'/d; ℓ —длина участка, м.
Коэффициент трения
,
где k' — абсолютная шероховатость углеродистых и перлитных труб, принимается равной 0,08 мм.
Потеря давления на трение при двухфазном потоке при переменном паросодержании в нем Δртр, Па, определяется по формуле
(6.6)
где
— среднее паросодержание на участке; ρ’ и ρ” — плотности воды и пара при температуре насыщения, кг/м2; w0— скорость циркуляции, м/с;
— коэффициент, учитывающий влияние структуры потока. Например, при паросодержании х < 0,7, давлении 10 МПа и скорости циркуляции w0 =1,6 м/с φ =1,1.
Потеря давления за счет местных сопротивлений при однофазном потоке Δрм, Па, определяется по формуле
Δрм = ξмρw2/2 (6.7)
где ξм — коэффициент местного сопротивления; ρ и w — плотность и скорость среды, кг/м3 и м/с.
Значения коэффициента зависят от конструктивных особенностей элементов и приведены в [12]. Например, при входе потока из коллектора в трубы ξм =0,7.
Потеря давления в местных сопротивлениях при двухфазном потоке, Па, определяется по формуле
(6.8)
где ξ'м — условный коэффициент местного сопротивления. Например, для выхода пароводяной смеси в вертикальные трубы из коллекторов при ℓ/d >80
ξ'м = 1,2.
В общем виде перепад давлений, Па, при движении рабочей среды в трубе определяется по формуле
ΣΔрэл= ΔРтр + ΣΔрм + Δркол + Δруск + Δрнив , (6.9)
где Δрэл — гидравлическое сопротивление в элементе, Па; Δртр — потеря давления на трение, Па; Δрм — потери давления в местных сопротивлениях, Па; Δркол — суммарное изменение давления в коллекторах, Па; Δруск — потеря давления от ускорения потока, Па; Δрнив — нивелирный перепад давлений, Па.
В зависимости от организации движения воды и пароводяной смеси в испарительной системе котлы разделяются на две группы:
а) котлы с естественной циркуляцией;
б) котлы с принудительной циркуляцией, которые под разделяются на прямоточные и с многократной принуди тельной циркуляцией.
Принципиальные схемы организации движения воды, пароводяной смеси и пара в котлах приведены на рис. 15.
В котлах с естественной циркуляцией (рис. 15, а) движение воды и пароводяной смеси в испарительной системе осуществляется за счет давления, создаваемого разностью массы столба воды в опускных трубах и столба пароводяной смеси в обогреваемых подъемных трубах системы. При этом кратность циркуляции к =Gц/D т. е. отношение массы воды, циркулирующей в системе за единицу времени, к массе вырабатываемого пара за то же время, составляет 15—100. Движение воды в экономайзере в этих котлах осуществляется при помощи питательного насоса, а пара в пароперегревателях — за счет разницы давлений в барабане котла и паропроводе за котлом.
В котлах с многократной принудительной циркуляцией (рис. 15, б) движение воды и пароводяной смеси в испарительной системе осуществляется при помощи специального насоса. Кратность циркуляции при этом обычно находится в пределах 6—10. движение воды в экономайзере и пароперегревателе осуществляется так же, как в котлах с естественной циркуляцией.
В прямоточных котлах (рис.15,в) питательный насос создает принудительное движение воды, пароводяной смеси и пара по ряду параллельно включенных труб поверхностей нагрева, отдельные участки которых выполняют роли экономайзера, испарительной поверхности нагрева и пароперегревателя. Кратность циркуляции в таком котле равна единице.

Рис. 15. Схемы организации движения воды и пароводяной смеси в котлах:
а — естественная циркуляция; б — многократно-принудительная циркуляция; в — прямоточное движение
Дата добавления: 2015-07-10; просмотров: 1483;
