ГИДРОДИНАМИКА КОТЛОВ С ЕСТЕСТВЕННОИ ЦИРКУЛЯЦИЕЙ
Учебные вопросы: Работа контура с естественной циркуляцией. Расчет контура. Влияние ввода пароводяной смеси выше уровня воды в барабане. Критерии нарушения циркуляции. Уравнения движения и теплогидравлическая разверка .Общее уравнение движения. Коэффициенты, характеризующие разверку. Нивелирный напор и его влияние на разверку. Построение графиков теплогидравлической разверки.
Рис. 16. Контур с естественной циркуляцией
Простейший контур испарительной системы состоит из обогреваемой трубы, необогреваемой опускной трубы, соединительного коллектора и барабана, в котором происходит разделение пароводяной смеси на пар и воду (рис. 16).
За счет подвода теплоты в какой-то точке по высоте подъемной трубы происходит закипание воды, в этом случае пароводяная смесь находится выше ее. За счет разности удельных масс воды и пароводяной смеси в опускной и подъемной трубах возникает движение воды вниз, а пароводяной смеси — вверх и устанавливается естественная циркуляция. Создаваемое при этом движущее давление затрачивается на преодоление сопротивлений в системе. Движущее давление циркуляции возникает за счет разности масс столбов воды и пароводяной смеси.
Давление столба пароводяной смеси ℓγсм можно представить в виде суммы давлений столба воды и столба пароводяной смеси, Па,
ℓγсм = ℓэкγ' +ℓпарγсм, (7.1)
где γсм - средний по длине паросодержащего участка трубы удельный вес пароводяной смеси (напорный удельный вес смеси), Н/м2.
Учитывая, что общая высота контура состоит из экономайзерного и паросодержащего участков ℓ=ℓэк+ ℓпар (на рис. 2.1 h = hэк+hпар), из (7.1) получаем для движущего давления (напора), Па,
S =ℓпар(γ' – γсм) (7.2)
Напорный удельный вес пароводяной смеси зависит от истинного объемного паросодержания смеси по длине трубы. Считая, что подвод теплоты обеспечивает равномерное возрастание паросодержания φ по длине трубы, имеем
γсм = (1 — φ)γ' + φγ'' (7.3)
Тогда движущее давление, Па, определяется из выражения
S =ℓпар
(γ' – γ''), (7.4)
где
— среднее по всей трубе истинное объемное паросодержание.
Движущее давление преодолевает сопротивление в подъемных и опускных трубах, следовательно,
S= Sр.под+Sр.оп (7.5)
где Sр.под и Sр.оп —суммарные сопротивления в подъемных и опускных трубах, Па.
Разность движущего давления и сопротивления подъемной части циркуляционного контура составляет полезное давление, расходуемое на преодоление сопротивлений опускной части контура:
Sпол=S – Σрпод (7.6)
или
Sпол – Σрпод = 0. (7.7)
В котлах с естественной циркуляцией испарительные системы развивают по высоте и выполняют с малым отношением длины трубы к ее диаметру ℓ/d, равным примерно 200...400. При этом нивелирная потеря давления будет наибольшей и поток воды между параллельно включенными трубами будет распределяться почти пропорционально их тепловой нагрузке, определяющей удельный вес пароводяной смеси в подъемной обогреваемой трубе и, следовательно, движущее давление циркуляционного контура.
Экономайзерный и паросодержащий участки контура.
Вода, поступающая из барабана в опускную систему, обычно нагрета до температуры насыщения. Когда вода в экономайзере недогрета до этой температуры и поступает в барабан вблизи опускных труб, ее недогрев до кипения определяется величиной Δhб кДж/кг,
Δhб =(h' – hэк)/к (7.8)
где h' и hэк энтальпия воды при температуре насыщения и на выходе из экономайзера, кДж/кг; к = Gц/D— кратность циркуляции в контуре, кг/кг.
Значение к в котлах высокого давления (до 14 МПа) составляет 14—6; среднего давления (до 8 МПа) — 30—65.
Общая высота контура ℓ может быть представлена в виде суммы участков с одинаковым тепловосприятием ℓ1,ℓ2,ℓ3...ℓn входного участка до обогрева ℓдо и выходного необогреваемого участка ℓпо:
ℓ =ℓдо +ℓ1 +ℓ2 +...+ℓпо
Высота паросодержащего участка контура ℓпар зависит от высоты экономайзерный части подъемных труб ℓэк, к которой подводится тепловой поток Qэк, необходимый для нагрева воды до температурного насыщения:
ℓпар=ℓ - ℓэк
Высота экономайзерного участка контура определяется из уравнения теплового баланса, которое представляет собой равенство теплоты, подводимой к экономайзерному участку, и теплоты, необходимой для подогрева воды до температуры насыщения в точке закипания.
Тепловой поток, кВт, необходимый для нагрева циркулирующей воды до начала испарения при давлении в барабане, когда Δhб ≠ 0,
Qб = Gц Δhб
где Gц= w0ρ'f — количество воды, циркулирующей в системе, кг/с; w0 — скорость циркуляции, м/с; f- площадь проходного сечения подъемных труб, м2; ρ'— плотность воды при температуре насыщения, кг/м3
Парообразование начинается в некоторой точке трубы, где давление ртз больше давления в барабане рб и для закипания воды при давлении ртз требуется подвести дополнительное количество теплоты, кВт,
Qд = Gц
(ртв — рб), (7.9)
где
— изменение энтальпии воды при повышении давления.
При определении давления в точке закипания рт.з, МПа, надо учесть столб жидкости между уровнем в барабане и уровнем, соответствующим точке закипания, и потери на сопротивление, тогда
рт.з = рб + (ℓоп — ℓэк)γ'·10-6 - Δроп·10-6— Δрэк·10-6, (7.10)
где ℓоп — высота трубы опускной системы, м; Δроп и Δрэк сопротивления опускных труб и экономайзерного участка, Па.
Сопротивление Δрэк незначительно, и обычно при определении ртз его можно не учитывать.
ЛЕКЦИЯ 7(25)
Тепловой поток, подведенный до точки закипания Qт, кВт, если считать подвод теплоты по высоте первого участка трубы равномерным, составляет
Qт = Q1 (ℓэк - ℓдо)/ℓ1, (7.11)
где Q1 — тепловосприятие первого участка, кВт, определяемое из тепловых расчетов циркуляционного контура; ℓ1— его высота, м.
Общий тепловой поток Q, воспринимаемый испарительной поверхностью нагрева, определяется из теплового расчета. За счет этого теплового потока происходит образование насыщенного пара в количестве D, кг/с,
D = (Q - Qэк)/r (7.12)
где r — теплота парообразования, кДж/кг.
В экранах котла плотность теплового потока неравномерна по периметру и высоте топки. Эта неравномерность характеризуется коэффициентами неравномерности обогрева стенок топки ηст, экрана по высоте ηв и контура ηш по ширине. При этом тепловой поток данного участка контура определяется по формуле
qi = ηст ηв ηш qср (7.13)
где qср — средний тепловой поток в циркуляционном контуре. Обычно ηст =0,7...1,2; ηв =0,7...1,2; ηш = 0,7...1,3.
Тепловосприятие солевого отсека принимают пропорциональным лучевоспринимающей поверхности, кВт,
Qс.о = Qтл(Нлс.о/Нлт)ηст , (7.14)
где Нлс.о и Нлт — площади лучевоспринимающих поверхностей экранов соленого отсека и топки, м2
Тепловосприятие чистого отсека определяется из баланса теплоты испарительных поверхностей
Qч.о = Qтст+ Qфк + Qки.п – Qс.о (7.15)
где Qфк и Qки.п — конвективные тепловосприятия фестона и испарительного пучка, кВт; Qтст — тепловосприятие испарительных поверхностей, расположенных в топке, кВт; Qс.о - тепловосприятие солевого отсека, кВт.
Тепловосприятие рядов труб в испарительном пучке в котлах низкого и среднего давления различно. Лучистый тепловой поток на отдельные ряды труб Qлi определяется с учетом угловых коэффициентов х.
Конвективный тепловой поток на трубы распределяется пропорционально температурному напору по рядам:
Qi = Qлiи.пΔti/(εΔti). (7.16)
Суммарное тепловосприятие каждого ряда труб испарительного пучка
Qi = Qлi + Qкi (7.17)
Уравнение теплового баланса экономайзерного участка трубы:
Qб = Qд + Qт (7.18)
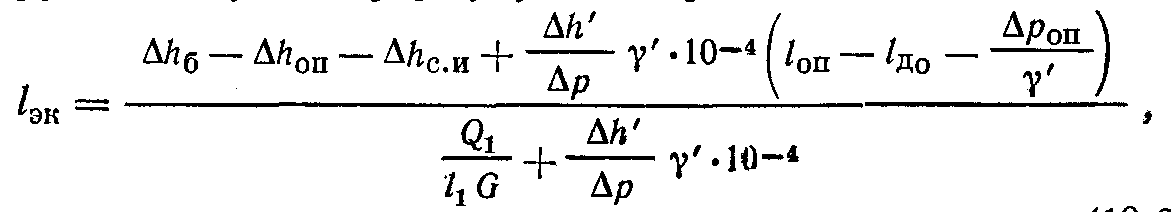
Подставляя в это выражение значения входящих в него величин и учитывая возможный подогрев воды в опускных трубах, получаем формулу для определения высоты - ℓэк, м,
(7.19)
где Δhоп — возможное приращение энтальпии в опускных трубах.
Обычно закипание воды начинается на первом обогреваемом участке.
Схема расчета циркуляции. Целью расчета циркуляции в испарительной системе котла является определение скорости воды и пароводяной смеси. Испарительные системы состоят из ряда параллельно включенных элементов, объединяемых коллекторами и барабанами.
Циркуляционные контуры могут иметь последовательное или параллельное соединение отдельных обогреваемых участков.
Для контуров с последовательным включением участков полезное давление контура при циркулирующем в нем количестве воды Gц равен
ΣSпол = Sпол1+ Sпол2 + Sпол3+...+Sполi . (7.20)
Для контуров с параллельно включенными участками, например для испарительных поверхностей нагрева экрана с несколькими рядами труб, объединенных общим коллектором и барабаном (рис. 2.2), в каждом ряду устанавливается одинаковое полезное давление с общим количеством циркулирующей вод
Gц = Gц1+ Gц2+ Gц3+...+ Gцi (7.21)
Рис. 17. Циркуляционный контур экрана
Определить Gц, в контуре можно по скорости циркуляции во входных участках подъемных труб, которые равны w0, и их сечению. Следовательно, в начале расчета необходимо знать скорость циркуляций w0, определение которой является итоговой целью расчета. Поэтому в начале расчета данного контура приходится ориентировочно задаваться несколькими значениями скорости циркуляции и далее строить гидравлические характеристики при этих значениях w0, по которым графически и определяется истинное значение в данном контуре. Предварительные значения w0, м/с, обычно принимаются следующими:


Рис. 18. Гидравлическая характеристика простого циркуляционного контура
Увеличение скорости циркуляции w0 приводит к уменьшению полезного давления, так как увеличивается сопротивление опускных труб и снижается объемное паросодержание φ в них. Для циркуляционного контура, представленного на рис. 17, для принятых трех величин w0 определяют три значения Sпол по формуле (7.16) и Δр по формуле (7.20), затем строят гидравлические характеристики контура - зависимости Sпол и Δроп от значений G, определяемых по данному значению w0 (рис. 18). На пересечении кривых находится расчетная точка А, для которой Sпол=Δроп. Эта точка соответствует истинному значению G и истинному полезному давлению контура. По истинному значению G определяются действительная скорость циркуляции w0 и кратность циркуляции контура к, кг/кг,
к = Gц/D.
С увеличением тепловой нагрузки кратность циркуляции уменьшается.
Для испарительного пучка, состоящего, например, из трех рядов труб (рис. 19), определяется Sпол и Δроп для трех принятых значений, и строятся гидравлические характеристики для каждого ряда труб.
Рис. 19. Гидравлическая характеристика сложного циркуляционного контура
Затем, складывая Gц для одинаковых значений Sпол отдельных рядов, строят суммарную кривую SΣпол Расчетная точка А находится на пересечении кривых SΣпол и Δроп причем Δроп одинаково для всех рядов труб, так как они соединяются общим коллектором и барабаном. Пересечение прямой, проведенной из точки А параллельно оси абсцисс, с кривыми полезных давлений для каждого ряда определяет расходы воды, циркулирующей через каждый ряд труб пучка. Зная Gц1, Gц2, Gц3 находят скорость циркуляции в каждом ряду труб и общую кратность циркуляции.
При уменьшении нагрузки котла кратность циркуляции возрастает, так как движущее давление уменьшается в меньшей степени, чем сопротивление опускных труб. При паропроизводительности котла, равной 50 % номинальной, кратность циркуляции возрастает примерно в 1,6 раза.
После определения расходов Gц в отдельных контурах и их элементах следует провести проверку правильности предварительно принятых в расчете скоростей циркуляции, расходов воды и сопротивлений, а также недогрева воды в барабане котла. Недостаточная кратность циркуляции указывает на большое сопротивление опускных труб контура и необходимость его уменьшения.
Надежность циркуляции.При однофазном потоке надежное охлаждение обогреваемых труб обеспечивается устойчивым движением среды при скорости, определяющей необходимое значение α2. При двухфазном потоке для хорошей теплоотдачи от стенок труб необходимо непрерывное смачивание металла водой. Наличие непрерывно текущей водяной пленки на стенке испарительной трубы сохраняется при пузырьковой структуре двухфазного потока. Такая структура потока возникает при определенном предельном паросодержании хкр и удельном тепловом потоке qпр. Например, при давлении 10...14 МПа и плотности теплового потока q =700 кВт/м2 хкр = 0,5.
При высоком паросодержании и больших тепловых нагрузках возникает эмульсионная структура потока, при которой водяная пленка на поверхности трубы уменьшается и срывается. В этом случае необходимое значение α2 может быть обеспечено за счет высоких скоростей потока.
Выполнение требований надежного охлаждения различных поверхностей нагрева усложняется гидравлической и тепловой неравномерностью работы параллельно включенных труб, связанных с рядом их конструктивных особенностей и условий эксплуатации. В котлах с естественной циркуляцией при относительно малом паросодержании пароводяной смеси в испарительных поверхностях нагрева основной причиной перегрева труб являются нарушения нормального гидравлического режима.
Дата добавления: 2015-07-10; просмотров: 5195;
