Застой и опрокидывание циркуляции.
При некоторых режимах работы испарительных поверхностей нагрева пароводяная смесь в обогреваемых подъемных трубах может остановиться или пойти вниз, а не вверх.
Режим медленного движения воды вверх или вниз, а пара вверх, при котором возможен застой паровых пузырей в отдельных участках трубы—отводах, гибы и пр., называется застоем циркуляции. В испарительной трубе, выведенной в паровое пространство барабана, при прекращении движения воды вследствие недостаточности полезного давления (напора) может образоваться свободный уровень воды, выше которого медленно движется насыщенный или перегретый пар.
Движение пароводяной смеси вниз в подъемной трубе называется опрокидыванием циркуляции. При этом появляется скопление в трубе пара, который не может преодолеть динамическое воздействие движущегося вниз потока воды и увлекается вместе с ним, не выходя в верхний барабан или коллектор.
Для выяснения причин образования явлений застоя и опрокидывания циркуляции рассмотрим гидродинамические характеристики испарительной системы, состоящей из трех параллельно включенных рядов труб с различным тепловосприятием (рис. 19). При этом примем, что в подъемные трубы поступает вода, нагретая до температуры насыщения
Как было показано ранее, гидродинамическая характеристика каждого ряда труб будет различна в зависимости от объемного паросодержания, определяемого удельной тепловой нагрузкой, причем полезное давление будет меньше в ряду труб с меньшим тепловосприятием. При некоторых тепловых нагрузках может оказаться, что для наименее теплонагруженного ряда труб пересечение характеристики этого ряда труб ординатой, определяющей Sпол всей системы, произойдет при значении Gц, а следовательно, и w0 равном или меньшем нуля. Следовательно, в трубах этого ряда при некоторых малых тепловых нагрузках будет иметь место застой или опускное движение потока пароводяной смеси. Оба режима неустойчивы и опасны, так как образование паровых объемов в трубе, что возможно и при малой скорости опускного движения потока, ухудшает охлаждение поверхности трубы вследствие резкого снижения w0.
Существенно влияет на гидродинамический режим циркуляционного контура относительная скорость пара в пароводяной смеси.
При подъемном движении потока пар значительно опережает воду, что при неизменной паропроизводительности приводит к уменьшению напорного истинного объемного паросодержания в трубе:
φ = Сβ,
где С = wсм/w'' — коэффициент пропорциональности, определяется по [12].
В соответствии с формулой (6.3) получаем
. (8.8)
Из (8.8) видно, что при подъемном движении увеличение
приводит к уменьшению φ и, следовательно, к увеличению γсм , и уменьшению движущего давления. При опускном движении пароводяной смеси w''< w', что увеличивает φ, снижает γсм, давление увеличивается. Следовательно, при подъемном движении при прочих равных условиях движущее давление относительно уменьшается, а при опускном — увеличивается.
Такой характер изменения φ определяет возникновение явлений опрокидывания циркуляции при тепловых нагрузках, меньших, чем без его учета.
Во избежание опасных режимов циркуляции, как видно из графика рис. 2.3 следует ограничивать сопротивление опускных труб так, чтобы полезное давление подъемных труб не превышало некоторого предельного значения. Следовательно, застоя циркуляции не будет, если Sпол< Sз где Sз — давление при застое, Па, который при необогреваемом участке трубы ℓно , составляющем не более 15 % обогреваемой высоты трубы, определяется по формуле
Sз = (ℓоб + ℓпо)
з (γ' — γ''),
где ℓоб — сумма высот паросодержащих элементов, м; ℓпо - высота участка после обогрева, м;
з - среднее истинное напорное паросодержание застоя в трубе, Па; γ' и γ''— удельный вес воды и пара в пароводяной смеси, Н/м3.
Истинное паросодержание застоя
определяется для наименее обогреваемой трубы с учетом коэффициентов неравномерности тепловосприятия трубы ηт и конструктивной нетождественности ηк для минимальной приведенной скорости пара
wот = ηт ηк w''о.эл /n (8.9)
где w''о.эл — средняя приведенная скорость пара в обогреваемом элементе, м/с, определяемая по формуле (6.5); п — общее число ходов в элементе.
По условиям безопасности вводится запас и принимается
Sзаст/Sпол > 1,1 (1,2). (8.10)
Коэффициент 1,2 принимается в тех случаях, когда имеются основания ожидать отклонений условий работы от расчетных.
Проверка появления свободного уровня производится по формуле
(Sзаст — Δрв.у)/ Sпол > 1,1(1,2), (8.11)
где Δрв.у — потеря давления на подъем пароводяной смеси выше уровня воды в барабане, Па, определяемая по формуле
Δрв.у = ℓв.у (1 - φзаст)(γ' — γ''),
здесь ℓв.у — высота трубы над средним уровнем воды в барабане, м; φзаст — паросодержание застоя, определяемое для конечной скорости пара в трубе.
Опрокидывания циркуляции не произойдет, если Sпол< Sопр где Sопр давление при опрокидывании циркуляции, определенное при минимальной скорости пароводяной смеси в слабообогреваемой трубе, Па,
Sопр = Sудопр(ℓ - ℓпо),
здесь Sуд опр удельное давление опрокидывания, определяемое по средней приведенной скорости пара в слабообогреваемой трубе, Па. Значения Sудопр для труб с различными коэффициентами сопротивления приведены в [12].
Вводя коэффициент запаса, получаем выражение для проверки недопущения опрокидывания:
Sопр / Sпол > 1,1(1,2). (8.12)
При вводе пароводяной смеси в паровое пространство барабана опрокидывание циркуляции невозможно и проверка необходима только на застой и образование свободного уровня воды в испарительной трубе. Когда пароводяная смесь подведена под уровень воды в барабане, возможны застой, образование свободного уровня и опрокидывание циркуляции.
Надежность движения потока в опускных трубах. Нормальное поступление воды в опускные трубы может нарушиться при захвате вместе с водой пара из барабана, появлении в трубах пара вследствие образования вихревых воронок над их входными сечениями, а также при закипании воды в обогреваемых опускных трубах. Наличие пара в опускной системе уменьшает массу среды в ней и может рассматриваться как дополнительное сопротивление циркуляционного контура. Уменьшение давления среды в спускных трубах, Па, при наличии в ней пара определяется по формуле
ΔSпив =
опℓ(γ' — γ'') (8.13)
где
оп — среднее напорное паросодержание в опускных трубах; ℓ— высота опускных труб, м.
Определяющим фактором захвата пара из барабана является скорость воды. При наличии в барабане перегородок, разделяющих подъемные и опускные трубы, если скорость воды в барабане составляет 0,2 м/с при давлении 10 МПа, захват пара имеет место при
оп ≈ 0,05. Захват пара в опускные трубы при присоединении их к нижним барабанам котла, а также к верхним барабанам многобарабанных котлов, в которые пароводяная смесь вводится в небольшом количестве, практически не имеет места.
На входе воды из барабана в опускную трубу при большой скорости может образоваться воронка, глубина которой сравняется с уровнем воды в барабане, в результате чего пар будет захватываться в опускные трубы. Для предотвращения образования такой воронки скорость воды на входе в опускные трубы должна удовлетворять условию wоп < 0,4 м/с.
Нагретая в экономайзере питательная вода имеет энтальпию, близкую к энтальпии насыщения при данном давлении в барабане, поэтому возможно вскипание (кавитация) в месте ввода воды в трубы. Кавитация наступает, когда давление во входном сечении опускной трубы рвх становится меньше, чем давление пара в барабане. Для предотвращения кавитации необходимо, чтобы соблюдалось условие рвх < ро; это будет иметь место при давлении, создаваемом уровнем воды над опускной трубой, большем, чем потеря давления на сопротивлении входа воды в трубу при данной скорости.
Давление на входе воды в опускные трубы, МПа,
(8.14)
Коэффициент сопротивления входа можно принять ξ = 1,5. Тогда из формулы (8.14) следует, что для предотвращения кавитации должно быть соблюдено условие

Надежность циркуляции при нестационарных режимах.
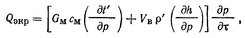
В эксплуатации котлов при резких изменениях нагрузки, расхода топлива, давления и уровня воды в барабане котла возникают нестационарные режимы, влияющие на надежность циркуляции. При этом могут возникать застой и опрокидывание циркуляции в наименее обогреваемых трубах. При падении давления возникает парообразование в опускных трубах, увеличивающее их сопротивление. Резкое падение давления возможно, например, при увеличении расхода пара и недостаточном тепловыделении в топке. Падение давления в системе вызывает выделение дополнительной теплоты за счет теплоты, аккумулированной трубами, и теплоты перегрева воды. В подъемной трубе эта теплота расходуется на испарение воды и составляет
(8.15)
где Gм и см—масса и теплоемкость металла трубы; ∂t'/∂р и ∂h/∂р — изменения температуры и энтальпии воды на линии насыщения понижением давления; ∂р/∂τ — изменение давления среды во времени; Vв — объем воды.
В опускной трубе также выделяется дополнительная теплота, часть которой пойдет на нагрев воды до кипения при давлении в нижней части трубы, а оставшаяся теплота — на парообразование.
Расход теплоты на нагрев воды до кипения определяется по формуле
(8.16)
где ℓоп, Δроп — высота и сопротивление опускных труб.
При повышении давления вследствие аккумуляции теплоты в пароводяной смеси уменьшается парообразование, увеличивается его неравномерность в подъемных трубах. Резкое повышение нагрузки при неизменном тепловыделении в топке потребует для повышения температуры металла и энтальпии пароводяной смеси затраты дополнительной теплоты, вследствие чего уменьшится парообразование в подъемной трубе и снизится давление циркуляции.
Снижение парообразования в контуре циркуляции определится исходя из затраты этой дополнительной теплоты определяемой по формуле
(8.17)
где ∂t/∂р — изменение температуры пароводяной смеси при повышении давления; Vсм и ρсм — объем и плотность пароводяной смеси; ∂hсм/∂р - изменение энтальпии пароводяной смеси при повышении давления.
Скорость изменения давления может быть определена совместным решением уравнений материального и теплового балансов.
Уравнение материального баланса:
(8.18)
где Dп.в и D — расход питательной воды и пара, кг/с; Vп и Vв — объемы пара и воды в испарительных трубах, м3
Уравнение теплового баланса:
(8.19)
где Qт — количество теплоты, подведенной к испарительным поверхностям нагрева; tм=t'- температура металла, принимаемая равной температуре кипения.
Максимально возможная скорость изменения давления в котле, МПа/с, при номинальной производительности, соответствующая мгновенному прекращению отбора пара при неизменном расходе топлива или прекращении подачи топлива при неизменном отборе пара, определяется из выражения
(8.20)
где Qт — тепловосприятие испарительных поверхностей котла, кВт; Dп.в — расход питательной воды в котле, кг/с; Vв и Vп — объемы воды и пара в котле, м3; Gм — активная масса металла кипятильных труб, коллекторов и барабана, кг; Δhэк — недогрев воды, поступающей в барабан, кДж/кг; см — теплоемкость металла, кДж/(кг·К); А и В - симплексы, зависящие от давления, Выражение (8.20) получается при совместном решении (8.18) и (8.19).
Числитель выражения (8.20) показывает разницу между количеством теплоты, поступившей в котел и отданной с паром, а знаменатель характеризует количество теплоты, воспринимаемой или отдаваемой рабочим телом и металлом при изменении давления.
При падении давления кипение в опускных трубах не допускается при скоростях в них 0,8 м/с, а во всасывающих трубопроводах котлов с многократно-принудительной циркуляцией — при любых значениях скоростей.
Наибольшая возможная скорость изменения давления в первую минуту после нанесения возмущения при давлении в котле 2...10 МПа составит примерно 0,008—0,03 МПа/с. Через 5 мин после нанесения возмущения скорость падения давления снижается в 2 раза, а через 10 мин — в 4 раза по отношению к скорости в первую минуту. При значительной скорости потока (большей 0,8 м/с) в опускных трубах возникающие при падении давления пузырьки пара увлекаются из опускных в подъемные трубы и нарушения нормальной циркуляции в контуре не происходит. При малых скоростях потока закипание воды в опускных трубах недопустимо, так как может привести к застою и опрокидыванию циркуляции.
Допустимая скорость падения давления, МПа/с, при которой отсутствует парообразование в опускных трубах, определяется по формуле
8.21)
где Δроп — сопротивление опускной системы при исходном режиме, Па; Qоп— тепловосприятие опускных труб, кВт; Gм — масса металла опускной системы, кг; Fоп — площадь сечения опускных труб, м2
В числителе выражения (8.21) указана разница между количествами теплоты, поступившей в котел и отданной паром, в знаменателе — количество теплоты, воспринятой или отданной рабочим телом и металлом при изменении давления.
Максимальная скорость подъема давления должна быть не больше 0,01—0,03 МПа/с для среднего и 0,04—0,08 МПа/с для высокого и сверхвысокого давления.
ЛЕКЦИЯ 9 (27)
Дата добавления: 2015-07-10; просмотров: 3743;
