Линейная зависимость и независимость векторов линейного пространства.
Волгодонский инженерно-технический институт - филиал НИЯУ МИФИ
КРАТКИЙ КУРС ЛЕКЦИЙ
По дисциплине «Математика» 1 семестр
Для студентов заочной формы обучения
Направления Менеджмент
Раздел №1 «Элементы линейной, векторной алгебры и аналитической геометрии»
Волгодонск
Линейные (векторные) пространства.
Определение: Множество L называется линейным (векторным) пространством, если на нем введены две операции:
1) сложение: для любых х, у Є L сумма (х + у) Є L,
2) умножение на число: для любого х Є L и любого числа λ произведение
λх Є L,
которые удовлетворяют 8 аксиомам:
1) х + у = у + х, где х,у Є L;
2) (х + у)+z = x+(у + z), где х,у,z Є L;
3) существует нулевой элемент Ө такой, что Ө + х = х, где х Є L;
4) для любого х Є L существует единственный противоположный элемент
(–х) такой, что х + (-х)= Ө;
5) 1·х = х, где х Є L;
6) α(βх) = (αβ)х, где х Є L, α и β- числа;
7) α(х + у) = αх + αу, где х,у Є L, α- число;
8) (α + β) х = αх + βх, где х Є L, α и β- числа.
Замечание: Элементы линейного (векторного) пространства называют векторами.
Примеры:
Множество действительных чисел является линейным пространством.
Множества всех векторов на плоскости и в пространстве являются линейным пространством.
Множество всех матриц одного размера является линейным пространством.
Линейная зависимость и независимость векторов линейного пространства.
Дана в линейном пространстве система векторов а1, а2, а3, … аn Є L.
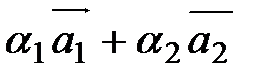
Определение: Вектор α1 а1+ α2 а2+…+ αn аn Є L, где αi (i = 1,…,n) - числа, называется линейной комбинацией (ЛК) векторов а1, а2, а3, … аn.
Определение: Система векторов линейного пространства а1, а2, а3, … аn Є L называется линейно независимой (ЛНЗ), если линейная комбинация
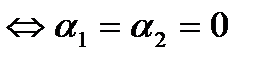
α1 а1+ α2 а2+α3 а3+…+ αn аn=0 тогда и только тогда, когда коэффициенты
α 1 =α 2 =α 3 =…=α n=0.
Определение: Система векторов а1, а2, а3, … аn Є L называется линейно зависимой (ЛЗ), если существует набор чисел α1, α2 ,α3 … αn, не все из которых равны 0, такие что линейная комбинация α1 а1+ α2 а2+…+ αn аn= 0.
Примеры:
Два вектора называются коллинеарными, если они параллельны одной прямой или лежат на одной прямой.
1) Рассмотрим два ненулевых, неколлинеарных вектора на плоскости. Диагональ
=0
.
| α2а2 |
| α1а1+α2а2 |
а1 α1 а1
Два ненулевых, не коллинеарных вектора на плоскости линейно независимы.
2) Рассмотрим два ненулевых , коллинеарных вектора а1 ║а2.
| а1 |
| а2 |
Линейная комбинация равна нулю, есть не нулевой коэффициент, следовательно, два коллинеарных вектора на плоскости линейно зависимы.
Дата добавления: 2015-08-11; просмотров: 942;
