Условие коллинеарности двух векторов.
| а |
| b |
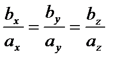
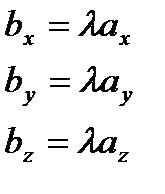
Возьмем два коллинеарных вектора а= (ах, ау, аz) ║b= (bx, by, bz).
b= λa.
В координатной форме:
Сравнивая соответствующие координаты первые, вторые и третьи получим:
.
Условие коллинеарности: Для коллинеарности двух векторов необходимо и достаточно, чтобы их соответствующие координаты были пропорциональны.
Замечание: если одна из координат вектора равна 0, то у коллинеарного вектора соответствующая координата тоже равна 0.
Дата добавления: 2015-08-11; просмотров: 1083;
