Коммутационные характеристики узлов параллельной коммутации.
При определении коммутационных характеристик узлов параллельной коммутации (рис 3.6) необходимо исходить из зависимости во времени тока коммутирующего конденсатора ic(t). Для анализа процесса перезаряда конденсатора воспользуемся обобщенной эквивалентной схемой замещения контура перезаряда конденсатора (рисунок 3.10). Эта схема действительна для всех рассмотренных КУ на этапе запирания силового тиристора. В схему замещения входят основные элементы контура коммутации Lк и Ск с начальными значениями тока IL(0) и напряжения U(0), коммутирующий тиристор и источник напряжения Ек цепи перезаряда коммутирующего конденсатора, напряжение которого для каждой конкретной схемы определяется отдельно.
В контуре коммутации, рисунок 3.6 а, дополнительный источник напряжения отсутствует, т.е. Ек=0.
В цепь коммутации, рисунок 3.6 б, входит напряжение источника питания Е, направленное встречно напряжению U(0), поэтому Ек= -Е.
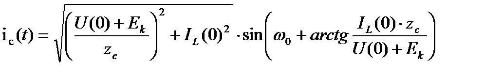
С целью упрощения расчетов будем считать, что активное сопротивление соединительных проводов, потери в Lк , Ск и в тиристоре VSк при его отпирании равны нулю. Тогда, из схемы замещения ток:
(3.1)
где
- угловая частота контура коммутации;
- характеристическое (волновое) сопротивление контура.
В схемах рисунка 3.6 коммутирующий дроссель не входит в цепь протекания тока нагрузки и перед отпиранием VSк , IL (0)=0. С учетом сказанного:
(3.2)
где
- амплитуда тока конденсатора в контуре коммутации.
Введем обозначение
- характеризующее относительное значение начального напряжения в контуре коммутации. С учетом этого обозначения (3.2) имеет следующий вид:
(3.3)
Длительность действия обратного напряжения на силовом тиристоре tп.в., или в угловых единицах
определяется интервалом, в течение которого ic>iн. Поскольку длительность коммутационного интервала относительно мала, и индуктивность в цепи нагрузки обычно велика, ток iн на коммутационном интервале не успевает заметно измениться и его принимают равным току нагрузки к моменту коммутации и обозначенной I(0).
Время, предоставленное силовому тиристору для восстановления запирающих свойств в угловых единицах, находится из (3.3) как разность
(рисунок 3.7):
(3.4)
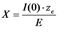
Обозначим
- коэффициент нагрузки преобразователя, после чего (2.4) примет вид:
(3.5)
Это выражение является действительным для схем, рисунок 3.6, причем для схемы а)
, а для схемы б)
. Коммутационные характеристики для этих схем, показывающие зависимость угла Θ от коэффициента нагрузки Х при постоянных ε имеют следующий вид (рисунок 3.11). Характеристики выходят из общей точки со значением
при Х=0 [I(0)=0] и имеют спадающий характер. Углу
соответствует равенство I(0)=Icm или Х=ε.
Характер зависимости Θ=f(X) можно пояснить диаграммой тока ic(t), рисунок 3.12. Повышение начального напряжения на конденсаторе приводит к увеличению тока Icm и следовательно возрастанию угла Θ. При этом коммутационная способность КУ повышается поскольку схема способна обеспечить запирание тиристора при большем токе. Увеличение U(0) увеличивает коэффициент ε и коммутационные характеристики при больших ε располагаются правее.
При одинаковых Lк , Ск, U(0), Е – амплитуда тока Icm в схеме а) больше чем в схеме б). Это говорит о том, что схема а) при прочих равных условиях обладает более высокой коммутационной способностью.
Дата добавления: 2015-08-08; просмотров: 943;
