Коммутационные характеристики узлов последовательной коммутации.
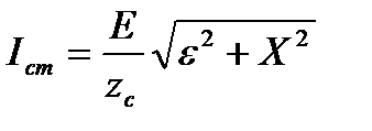
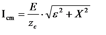
При определении коммутационных характеристик узлов последовательной коммутации будем исходить из зависимости во времени напряжения на коммутирующем конденсаторе Uc(t), (рисунок 3.9). Для схемы (рисунок 3.8 а) Ек=+Е, для схемы (рисунок 3.8 б) Ек=+0,5Е. В этих КУ коммутирующий дроссель Lк расположен в цепи протекания тока нагрузки, следовательно, в эквивалентной схеме замещения (рисунок 3.10) IL(0)=I(0). Начальное напряжение на конденсаторе, как и для предыдущих схем, принимаем равным U(0). С учетом сказанного , а так же введенных нами обозначений , выражение для тока (3.1) рассматриваемых схем имеет вид:
(3.6)
где
- амплитуда тока конденсатора в контуре коммутации;
- угол сдвига, обусловленный начальным током коммутационного дросселя.
Угол Θ,отводимый силовому тиристору для восстановления запирающих свойств находят из кривой Uc(t). Напряжение Uc(t):
(3.7)
Угол Θ оценивают по длительности изменения напряжения на конденсаторе от U(0) до Uу. После подстановки в (3.7) UC=Uу получим:
(3.8)
Это уравнение описывает коммутационные характеристики схем, имеющие следующий вид, рисунок 3.12. Причиной уменьшения Θ с ростом тока нагрузки (ростом Х) является более быстрый процесс перезаряда конденсатора, из-за большего влияния на него тока I(0), рисунок 3.11. С возрастанием ε, коммутационные характеристики располагаются выше, что объясняется увеличением Θ за счет повышения U(0) на конденсаторе и меньшим влиянием на перезаряд.
При одинаковых параметрах коммутации узлов I(0), U(0), Lк, Cк – коэффициент ε для схемы 3.8.а, больше, чем для схемы 3.8.б. Поэтому углы Θ в схема «а» больше и коммутационная способность этой схемы выше. Например, при U(0)=E для схемы «а»
, а для схемы «б»
.
Коммутационные характеристики и приведенные формулы используют для расчета Lк и Cк КУ тиристорных преобразователей. Исходными данными для расчета являются: напряжение источника питания Е, ток I(0), протекающий через силовой тиристор и нагрузку к моменту коммутации.
Расчет Lк и Cк начинают с определения или выбора начального напряжения на конденсаторе перед коммутацией U(0). Выбор величины U(0) производят с учетом обеспечения возможно меньших напряжений на остальных элементах схемы преобразователя, в частности на силовых и коммутационных тиристорах, т.к. напряжения на них зависят от U(0). Для поддержания выбранного U(0) используют дополнительные цепи заряда конденсатора или используют цепи отвода от КУ избыточной энергии. Эти цепи зависят от конкретных схем преобразователя. По выбранному U(0) рассчитывают коэффициент
, используемого КУ.
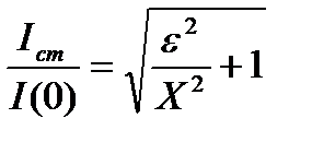
Расчет элементов проводят на предельный ( критический) режим работы КУ, характеризующийся наименьшим Θ. Этому режиму обычно соответствует наибольший ток I(0)max и наименьшее напряжение источника питания Emin . Параметры критического режима учитывают коэффициентом Xкр , который выбирают исходя из амплитуды тока Icm для этого режима.
Для узлов параллельной коммутации согласно формуле (3.3)
, откуда после деления на I(0) и введения X получим:
(3.9)
(3.10)
Для узлов последовательной коммутации в соответствии с выражением (3.6):
, откуда:
(3.11)
(3.12)
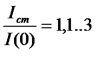
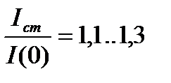
Выбор больших значений Icm для узлов принудительной коммутации нецелесообразен из-за роста потерь мощности в коммутирующем тиристоре, конденсаторе, активном сопротивлении коммутирующего дросселя и соединительных проводах. Поэтому рекомендуется выбирать для критического режима соотношения
. Однако, следует помнить, что с ростом отношения
уменьшается время перезаряда конденсатора в КУ. В преобразователях с невысокой частотой выходного сигнала (50..100 Гц) длительность интервала коммутации занимает малую часть периода следования выходного сигнала. Поэтому для них целесообразно принимать
. При повышенной частоте f>100 становится актуальна задача сокращения времени перезаряда конденсаторов в КУ. В этом случае можно принимать 
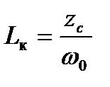
По выбранному для критического режима отношению
с учетом формул (3.10), (3.12) рассчитывают Хкр , а затем и характеристическое сопротивление zc контура коммутации.
(3.13)
Далее по значению Хкр и коммутационной кривой Θ(Х,ε) находят угол Θкр критического режима, а по известному времени tв используемых силовых тиристоров с учетом необходимого запаса – угловую частоту:
(3.14)
где Кзап=1.2..1.5 – коэффициент запаса.
По значениям zc и ω0 определяем параметры Lк и Cк коммутационного узла:
(3.15)
(3.16)
Дата добавления: 2015-08-08; просмотров: 1469;
