Потенциальная энергия может быть введена только для поля консервативных сил
Так как их работа не зависит от траектории, а только от начального и конечного положений материальной точки, то эту работу можно записать в виде разности двух чисел: одно - Wn1 - будет зависеть от начального положения тела, второе - Wn2 - от конечного положения тела.
.
Wn1 - потенциальная энергия тела в положении 1;
Wn2 - в положении 2.
5.7.1. Некоторые конкретные выражения для потенциальной энергии Wn(r)
Для нахождения конкретного вида зависимости Wn(r) необходимо вычислить работу
.
В частности, для однородного поля тяжести, где
, используя (5.6.1), получим: Wn = mgh.
Если
- гравитационная сила, то 
Если
- кулоновская сила, то
.
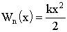
Если
- сила упругости, то
.
Дата добавления: 2015-08-08; просмотров: 648;
