Расходные энергетические характеристики турбоагрегатов
Расходные характеристики паровых турбоагрегатов зависят от системы их регулирования и представляют собой выпуклые кривые (рис. 13.4, а) или их сочетание (рис. 13.4, в).
При возрастании нагрузки угол наклона касательной уменьшается. Это объясняется постепенным открытием дроссельного клапана, пропускающего пар в проточную часть турбины, и снижением потерь дросселирования. В крупных турбинах для уменьшения потерь дросселирования применяют сопловое или клапанное регулирование, осуществляемое последовательным открытием нескольких клапанов. В точке включения такого клапана происходит скачкообразное увеличение относительного прироста расхода топлива (tga1 < tga2) из-за возрастания потерь дросселирования во вновь открываемом клапане (рис. 13.4, б).
Использование в практических расчетах криволинейных характеристик весьма сложно, поэтому их заменяют прямолинейными (рис. 13.5). Обычно проводят прямую через точки характеристики, соответствующие нагрузкам 50 и 100 %.

Рис. 13.4. Расходные характеристики паровых турбоагрегатов:
а — дроссельное регулирование; б — сопловое или клапанное регулирование; в — обводное регулирование; I, II, III — клапаны
Согласно упрощенной (спрямленной) расходной характеристике турбины с дроссельным и сопловым регулированием часо-юй расход тепла

Рмс.13.5. Расходные характеристики паровых турбоагрегатов при замене
криволинейных зависимостей прямолинейными: а — для одного турбоагрегата; б — для нескольких турбоагрегатов
|

где qxx — часовой расход тепла на холостой ход агрегата, ГДж/ч (имеется в виду условный, получающийся в результате спрямленной характеристики часовой расход тепла на холостой ход; в дальнейшем изложении слово «условный» опускается; гт — относительный прирост расхода тепла, т. е. отношение приращения расхода тепла ∆Q к приращению нагрузки ∆Р или (для спрямленной характеристики) тангенс угла наклона характеристики к оси абсцисс, ГДжДМВт • ч); Р — текущая электрическая нагрузка турбоагрегата, МВт.
Таким образом, при любой нагрузке турбоагрегата часовой расход тепла складывается из постоянного не зависящего от нагрузки расхода тепла на холостой ход и нагрузочного расхода тепла, зависящего от нагрузки (возрастающего с ее увеличением и наоборот). Например: для турбины К-300-240 расходная характеристика &, = 158,8 + 7,68ЧР, ГДж/ч.
Для увеличения пропуска пара через проточную часть турбин большой мощности применяется обводное регулирование, когда пар в обвод первых ступеней пропускается непосредственно в одну из промежуточных ступеней. В этом случае расходная характеристика представляет собой сочетание двух выпуклых кривых, из которых последняя имеет больший угол наклона (рис. 13.6).
|
| а клапанов I и II |
|
В зоне действия клапана I
| Рис. 13.6. Расходная характеристика паровых турбоагрегатов при обводном регулировании: I, II — клапаны |
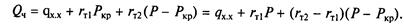
где Qкр — расход тепла, соответствующий критической нагрузке; Ркр — критическая, или экономическая, нагрузка турбины, т.е. нагрузка при которой удельный расход тепла является наименьшим, МВт; гт1, гт2 —
относительные приросты расхода теплоты турбоагрегата в зоне до критической нагрузки и перегрузочной зоне, ГДжДМВт • ч).
При обводном регулировании часовой расход тепла на турбину

|
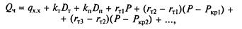
| Для теплофикационных турбоагрегатов при определенных значениях отборов пара часовой расход тепла, ГДж/ч, |
|
Часовой расход тепла при нагрузке, превышающей критическую, состоит: из расхода тепла на холостой ход qxx; расхода тепла на выработку электроэнергии, если вся она получается по характеристике, не имеющей излома, с относительным приростом г.,; дополнительного расхода тепла из-за выработки части электроэнергии при нагрузке, превышающей экономическую, т.е. в зоне нагрузки с большим относительным приростом (rт2 >rт1). Коэффициенты характеристики qxx, rTl и rт2 являются величинами постоянными для данных типов мощности и состояния агрегата. Они либо известны по данным завода-изготовителя, либо определяются проведением соответствующих испытаний.
где кт и кп — коэффициенты, характеризующие приросты расхода тепла на турбоагрегат при неизменной электрической нагрузке и увеличении отбора пара отопительных и производственных параметров соответственно на 1 т/ч, ГДж/т пара; Dт и Dп— расход пара из регулируемых отборов отопительных и производственных параметров соответственно, т/ч; Р — электрическая нагрузка турбоагрегата, МВт; Ркрi — критические нагрузки, при которых изменяется величина относительного прироста расхода тепла, МВт; rTi — относительные приросты расхода тепла на единицу электрической нагрузки соответственно в зонах от минимальной Pmin до Ркр1, от Ркр1 до Ркр2, от Ркр2 до максимальной Ртах, ГДж/МВт-ч. Параметры (коэффициенты) характеристики получаются на ос-е диаграммы режимов по данным испытаний завода-изготовителя (рис. 13.7). С изменением величин отборов пара меняются чения минимальной, критических и максимальной нагрузок ( 13.8). Характеристика относительных приростов расхода теплоты турбоагрегатом для данной тепловой нагрузки определенных параметров представляет собой ступенчатый график (см. рис. 13.6). Число ступеней и их размеры определяются значениями минимальной, максимальной и критическими нагрузками, а также относитель-
|
| Рис. 13.8. Зависимость параметров расходной характеристики турбоагрегата от величины отборов пара |
Рис. 13.7. Определение параметров (коэффициентов) расходной характеристики турбоагрегата на основе диаграммы режима
ными приростами расхода теплоты для отдельных диапазонов нагрузки.
Показателем, характеризующим экономичность турбины, является удельный расход тепла, ГДж/(МВт-ч):

Эта формула состоит из трех частей: гиперболической уменьшающейся, постоянной и гиперболической увеличивающейся. Коэффициент полезного действия

|
ход тепла численно будет приближаться к значению относительного расхода теплоты турбоагрегатом.
Дата добавления: 2015-08-01; просмотров: 3548;
