Принципы оптимального распределения нагрузки между котлами в котельной
На основе характеристик для отдельных котлов строятся одноименные характеристики для котельной применительно к одновременно находящимся в работе котлам в данный период времени и оптимальному распределению тепловой нагрузки котельной между ними. Распределение нагрузки между совместно работающими агрегатами будет наиболее выгодным, когда выполнение данного общего графика нагрузки требует наименьшего количества первичной энергии.Тепловые нагрузки котлов, соответствующие этим условиям, будут совпадать, если в рассматриваемый период времени все работающие котлы данной котельной используют одинаковое топливо. Для достижения этих критериев необходимо, чтобы в каждый момент времени обеспечивалось равенство относительных приростов расхода топлива или относительных приростов стоимости топлива: гк1 = гк2 = ... = гкi.
Для построения характеристики относительных приростов котельной суммирование нагрузки отдельных котлов следует производить при одинаковых значениях относительных приростов расхода топлива или одинаковых значениях относительных приростов стоимости топлива. Характеристика относительных приростов рас-
|
В зоне нагрузок до Ркр удельный расход тепла снижается за счет уменьшения доли расхода пара на холостой ход (qmin = qкр),
затем увеличивается за счет перегрузочного расхода тепла (рис. 13.9).
Так как в точке Р = Ркр удельный расход топлива минимальный, а КПД соответственно достигает максимального значения, то эта точка называется экономичной нагрузкой турбоагрегата.
| Рис. 13.9. Относительные показатели работы турбоагрегатов |
При увеличении электрической нагрузки удельный рас-

А б
в
13.10. Построение характеристики относительных приростов расхода
топлива котельной: а ~ первого котла; б — второго котла; в — котельной
|
Рис. 13.11. Энергетические характеристики: а — первого котла; б — второго котла; в — котельной
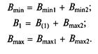
хода топлива котельной, состоящей из двух разнотипных котлов, имеет излом (рис. 13.10), который происходит в характерных точках, соответствующих минимальным и максимальным нагрузкам отдельных котлов. Например:

Энергетическая характеристика котельной строится по тем же характерным точкам, что и характеристика относительных приростов расхода топлива (рис. 13.11). При этом используются энергетические характеристики отдельных котлов.
По тепловым нагрузкам отдельных котлов, соответствующим данному (одинаковому) значению относительного прироста расхода топлива, из энергетических характеристик находят соответствующие им расходы топлива. Суммируя эти величины, получаем расход топлива котельной при тепловой нагрузке, равной сумме тепловых нагрузок отдельных котлов:

Дата добавления: 2015-08-01; просмотров: 3579;
