Ответственность работников предприятия за нарушение требований безопасности
Руководители и специалисты, работники, виновные в нарушении законодательных и иных нормативных актов по охране труда, в невыполении обязательств (мероприятий) раздела охраны труда коллективного договора, привлекаются к административной, дисциплинарной и уголовной ответственности в порядке, установленном законодательством РФ.
Ответственность:
1. Дисциплинарная.Дисциплинарный проступок — это неисполнение или ненадлежащее выполнение наложенных на работника трудовых обязателств. Работодатель имеет право применить следующие виды дисциплинарных нарушений:
- Замечание
- Выговор
- Увольнение
Не допускается применение дисциплинарных взысканий не предусмотренных кодексом. Для применения дисциплинарного взыскания существует процедура: работодатель требует объяснение в письменной форме, в случае отказа — составляетсясоотвтетствующий акт при свидетелях. Дисциплинарное взыскание применяется не позднее 1 месяца после обнаружения дисциплинарного проступка, не считая болезни работника, времени, необходимого для учета мнения представительного органа работников, отпуска. Дисциплинарное взыскание не может быть применено позднее 6 месяяцев со дня совершения проступка, а при ревизии — не позднее 2 лет со дня его соверешния. За каждый проступок может быть применено только одно дисциплинарное взыскание. Оно применяется в форме приказа, и предъявляется работнику под роспись в течение 3 дней со дня взыскания. Может быть обжаловано в государственной инспекции по труду или в суде. Взыскание действительно в течение 1 года.
2. Административная. Основание и объем админимстративной ответственности за нарушение требований нормативных актов по охране труда определены в КоАП от 30.12.2001 за номером 195-ФЗ (с изменениями).
К административным взысканиям относятся:
1. предупреждение — мера административного взыскания, выраженная в порицании физического лица. Выносится с письменной форме
2. административный штраф (денежное взыскание)
3. дисквалификация — лишение физического лица права занимать руководящие должности в исполнительном органе управления юридического лица.
К административной ответственности привлекают органы надзора, привлекаются работодатель, руководители, должностные лица и работники, ответственные за состояние охраны труда. Статья 5.27 КоАП РФ «Нарушение законодательства о труде и об охране труда» часть 1: нарушение законодательства о труде и об охране труда влечет нарушение административного штрафа на должностных лиц в размере от 1000 до 5000 рублей, на юридических лиц от 30000 до 50000 или административное приостановление деятельности на срок до 90 суток. В редакции ФЗ от 9.05.2005 №45, от 20.04.2007 №54, от 22.96.2002. Часть 2: Нарушение законодательства о труде о об ОТ ранее подвергнутых административному нарушению ведет дисквалификацию на срок от 1 до 3 лет.
Статья 5.44 «Сокрытие страхового случая». Сокрытие страхователей наступления страхового случая, при обязательном страховании от несчастных случаев на производстве и профессиональных заболеваний влечет наложение административного штрафа: на граждан от 300 до 500 рублей, на должностных лиц от 500 до 1000 рублей, на юридических лиц от 5000 до 10000 рублей.
3. Уголовная ответственность. Наступает за совершение физическим лицом преступления, предусмотренного уголовным кодексом РФ (от 13 июня 1996 г, №63-ФЗ). Преступление – виновно совершенное общественно-опасное деяние, запрещенное настоящим кодексом под угрозой наказания.
Глава 19 «Преступление против конституционных прав и свобод человека и гражданина». Статья 143 УК РФ. Часть 1: нарушение правил техники безопасности или других правил охраны труда, совершенных лицом, но котором лежат обязанности по соблюдению этих правил, если это привело к нанесению тяжкого вреда, наказывается: штрафом в размере до 200 000 рублей, или в размере зарплаты или другого дохода осужденного за период до 18 месяцев, либо исправительными работами на срок до 2 лет, либо лишением свободы на срок до 1 года. Часть 2: То же деяние, повлекшее за собой по неосторожности смерть человека наказывается лишением свободы на срок до 3 лет с лишением права занимать определенные должности или заниматься определенной деятельностью на срок до 3 лет или без такового.
Анализ условий труда
При анализе условий труда используются следующие методы:
1. Топографический метод. Суть этого метода заключается в том, чтобы изучить причины несчастного случая по месту происшествия
2. Монографический метод. Включает в себя детальное исследование всего комплекса условий, при которых произошел несчастный случай (и технологический процесс, и работа основного и дополнительного оборудования, и применение СИЗ и СКЗ).
3. Экономический метод. Включает в себя подсчет экономических потерь от травматизма.
4. Статистический. Для построения функции опасности системы «человек – машина» необходимо определить количественное значение риска, т.е. ожидаемых потерь. Для этого возможно применение методов, основанных на анализе статистических происшествий и анализе функционирования системы «человек – машина». Статистические показатели:
КЧ (Коэффициент чистоты)=(Т/Р)*1000, где Т – количество НС, Р – количество работников.
КТ=Д/Т, где: Д – количество дней нетрудоспособности, Т – количество травм. В приведенной формуле коэффициент тяжести не отражает фактической тяжести несчастных случаев, т.к. при расчете не берутся случаи, нетрудоспособность которых не закончилась в отчетный период, а так же этот показатель не учитывает потерь, связанных с полным выбытием погибших из трудового процесса, поэтому при статистическом методе используется коэффициент нетрудоспособности:
КН(Коэффициент нетрудоспособности)=КЧ*КТ.
Индивидуальный риск (ожидаемые потери) какого – либо i-го происшествия можно записать:
Ri=Pi(КЧ/1000)*КТ;
Рi – вероятность реализации i-происшествия.
Для количественного определения Pi используют метод анализа опасности с помощью дерева происшествий. Дерево происшествий – модель происшествия, включающая конкретное головное происшествие, связанное с помощью логических выражений с промежуточными или исходными предпосылками, обусловившими в совокупности его появление.
Алгоритм построения дерева:
1. Устанавливают потенциальное происшествие, которое будет являться головным событием в дереве.
2. Устанавливают события (отказы, ошибки), которые могут привести к этому происшествию.
3. Выявленные события обозначаются окружностями и размещают выше головного события.
4. Соединяют события верхнего уровня с событием или событиями нижнего уровня с помощью логических знаков «И» и «ИЛИ».
5. Устанавливают события, которые, в свою очередь, вызывают каждое из событий верхнего уровня.
6. События в виде окружностей записывают выше предыдущего уровня, соединяя события – причины со своими событиями – последствиями с помощью логических элементов «И» и «ИЛИ».
7. Повторяют пункты 5 и 6 пока не будет достигнут уровень базовых событий, т.е событий, происходящих спонтанно, без видимых для человека причин.
Логические элементы дерева происшествий
| Элемент | Условное обозначение | Описание |
| «И» |
| Событие В происходит тогда и только тогда, когда происходят все сразу события Аi |
| «ИЛИ» |
| Событие В происходит когда происходит хотя бы одно событие Аi |
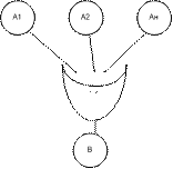
Рассмотрим следующее происшествие: Произошел взрыв технологического оборудования на химическом производстве.
Взрыв возможен, когда одновременно происходят 3 события: и образование опасной смеси и отказы аварийной системы взрыво-пожаро защиты, и появление источника зажигания. В свою очередь, взрывоопасная смесь образуется или при разрушении оборудования, или при ошибке оператора. Появление же источника зажигания возможно или при искрении электропроводки, или при наличии горячих поверхностей.
| № | Алгоритм | Конкретное соответствие данных задания приведенному алгоритму |
| Установление происшествия, которое будет головным событием в дереве | Головное событие Г – это взрыв технологического оборудования | |
| Установление событий, которые могут привести к этому происшествию | Взрыв происходит при одновременном наступлении следующих событий: 1. Образование взрывоопасной смеси (В1) 2. Отказ аварийной системы взрывво-пожаро защиты (В2) 3. Появление источника зажигания (В3) | |
| Обозначение окружностями и размещение установленных событий выше головного события |
| |
| 4. | Соединение событий верхнего уровня с событиями нижнего уровня с помощью логического элемента «И» |
|
| 5. | Установление событий, которые, в свою очередь, вызывают каждое из событий верхнего уровня. | В1. Возникает или при разрушении оборудования (Б1), или при ошибке оператора (В2). В3. Возникает при искрении проводки (Б3) или при наличии горячих поверхностей (Б4) |
| 6. | Запись установленных событий в виде окружностей предыдущего уровня, соединяя события – причины со своими событиями – последствиями с помощью логических элементов |
|
Исследование и учет несчастных случаев на производстве и профессиональных заболеваний
Травма – внешнее повреждение человеческого организма или нарушение правильного его функционирования, наступившее внезапно в результате НС.
Производственная травма – травма, полученная на производстве и связанная с выполнением производственного задания.
Несчастный случай на производстве – событие, в результате которого застрахованный получил увечье или иное повреждение здоровья при исполнении им обязанностей по трудовому договору или контракту. Травмирование возможно в следствие следующих воздействий:
- химических факторов, например ядохимикатов, а так же отравлений и химических ожогов;
- электрических факторов (ожогов, электрических ударов);
- высоких и низких температур (ожоги и отморожения);
- сочетания различных факторов.
Повреждение здоровья работников на рабочем месте возможно в результате нескольких групп причин:
1. Организационных, когда нарушение норм ОТ происходит по вине работодателя в результате отсутствия надлежащих инструктажей по ТБ, нарушения правил ТБ, нарушения режимов труда и отдыха (привлечение к сверхурочным работам), плохой организации погрузочно-разгрузочных работ, отсутствия предупредительных надписей.
2. Технических. Травматизм вызван неисправностью машин или приспособлений, инструментов, несовершенством оградительных и предохранительных устройств, отсутствием заземления, неисправностью электропроводки и т.д..
3. Санитарно-гигиенических причин. Они связаны с нарушением санитарных норм: отклонение по влажности и температуре, отсутствие санитарно-бытового помещения.
4. Причин личностного характера. Это причины, возникшие в результате нарушения трудовой дисциплины, опьянения, плохого самочувствия.
Порядок расследований и учета несчастных случаев на производстве регламентируется следующими нормативно-правовыми актами:
1. Трудовой кодекс РФ (статьи 227-231);
2. Постановление министерства труда РФ от 25 октября 2002 года, №73 – «об утверждении форм документов, необходимых для расследования и учета НС на производстве» и положение «об особенностях расследования НС на производстве в отдельных отраслях и организациях»;
3. Приказ МинЗдрава и соц. развития №160 «об определении степени тяжести повреждения здоровья при НС на производстве».
Дата добавления: 2015-07-30; просмотров: 800;
