Линейное свойство определителя.
Определение 2. Некоторая строка (
) является линейной комбинацией строк (
) и (
) с коэффициентами
и
, если
.
Пользуясь этим определением, перейдем к самому свойству.
Свойство 3. Если в определителе
-го порядка
некоторая строка
(
) является линейной комбинацией двух строк (
) и (
) с коэффициентами
и
, то
, где
- определитель, у которого
-ая строка равна (
), а все остальные - те же, что и у
, а
- определитель, у которого
-ая строка равна (
), а все остальные - те же, что и у
.
Для доказательства разложим каждый из определителей по
-ой строке. Очевидно, что у всех разложений миноры
соответствующих элементов будут одинаковы. Вычислим
:

Итак, свойство доказано. Очевидно, оно справедливо и для столбцов.
Приведенные три свойства называются основными. Остальные являются их следствиями.
Свойство 4. Умножение всех элементов некоторой строки или столбца определителя на число
равносильно умножению определителя на число
.
Для доказательства положим в свойстве 3
, тогда получим
. Значит, общий множитель всех элементов некоторого ряда можно выносить за определитель.
Свойство 5. Если все элементы некоторой строки или столбца определителя равны 0, то и сам определитель равен 0.
Для доказательства разложим определитель по нулевому ряду.
Свойство 6. Определитель с двумя равными строками или столбцами равен 0.
Действительно, переставив местами равные строки или столбцы, получим тот же определитель, но по свойству 2 его знак изменится на противоположный. Итак, с одной стороны
, а с другой
. Следовательно,
.
Свойство 7. Если соответствующие элементы двух строк или столбцов определителя пропорциональны, то определитель равен нулю.
Действительно, согласно свойству 4 общий множитель можно выносить за определитель, и мы получим определитель с двумя равными строками, который по свойству 6 равен нулю.
Свойство 8. Если к элементам некоторой строки или столбца определителя прибавить соответствующие элементы другой строки или столбца, умноженные на произвольный множитель
, то величина определителя не изменится.
Доказательство. Рассмотрим определитель
. Прибавим к элементам второй строки элементы первой с коэффициентом
:
.
Тогда, по свойству 3 получим:
.
После перечисления всех свойств определителей введем еще одно определение.
Определение 3. Алгебраическим дополнением данного элемента
определителя
-го порядка называется число, равное
, которое обозначается
.
Значит, алгебраическое дополнение отличается от соответствующего минора только лишь знаком. Теперь величину определителя можно вычислить с помощью формул:
.
Пользуясь свойствами, любой определитель можно вычислить не на основании основного правила, а предварительно упростив его (приводя, например, к треугольному виду).
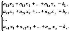
СЛАУ.
Рассмотрим систему линейных алгебраических уравнений (СЛАУ) относительно n неизвестных x1 , x2 , ..., xn:

Эта система в "свернутом" виде может быть записана так:
S ni=1aij xj = bi , i=1,2, ..., n.
В соответствии с правилом умножения матриц рассмотренная система линейных уравнений может быть записана в матричной форме Ax=b, где
,
,
.
Матрица A, столбцами которой являются коэффициенты при соответствующих неизвестных, а строками - коэффициенты при неизвестных в соответствующем уравнении называется матрицей системы. Матрица-столбец b, элементами которой являются правые части уравнений системы, называется матрицей правой части или просто правойчастьюсистемы. Матрица-столбец x, элементы которой - искомые неизвестные, называется решением системы.
Система линейных алгебраических уравнений, записанная в виде Ax=b, является матричным уравнением.
Если матрица системы невырождена, то у нее существует обратная матрица и тогда решение системы Ax=b дается формулой:
x=A -1 b.
Справедливо следующее утверждение (формулы Крамера).
Если определитель D=det A матрицы системы Ax=b отличен от нуля, то система имеет единственное решение x1 , x2 , ..., xn, определяемое формулами Крамера
xi =Di / D, i=1,2, ..., n,
где Di - определитель матрицы n -го порядка, полученной из матрицы A системы заменой i -го столбца столбцом правых частей b.
Пример. Вычисление решения системы линейных уравнений по формулам Крамера.
Решить систему:

D=|A|=6
х1 = 12/6=2, х2 = 6/6=1, х3 = 12/6=2.
Метод Гаусса применим для решения системы линейных алгебраических уравнений c невырожденной матрицей системы. Идея метода Гаусса состоит в том, что систему n линейных алгебраических уравнений относительно n неизвестных x1 , x2 , ..., xn

приводят последовательным исключением неизвестных к эквивалентной системе с треугольной матрицей

решение которой находят по рекуррентным формулам:
xn =dn , xi = di -S nk=i+1 cik xk , i=n-1, n-2, ...,1.
Матричная запись метода Гаусса.
- Прямой ход метода Гаусса: приведение расширенной матрицы системы
к ступенчатому виду
с помощью элементарных операций над строками матрицы (под элементарными операциями понимаются следующие операции:
o перестановка строк;
o умножение строки на число, отличное от нуля;
o сложение строки матрицы с другой строкой, умноженной на отличное от нуля чиcло).
- Обратный ход метода Гаусса: преобразование полученной ступенчатой матрицы к матрице, в первых n столбцах которой содержится единичная матрица
,
последний, (n+1)-й, столбец этой матрицы содержит решение системы.
Пример.
Решить систему уравнений методом Гаусса.

Решение:
Выписав расширенную матрицу этой системы, после ряда элементарных преобразований (проследить порядок которых рекомендуем самостоятельно), получим:

откуда

Решая последнюю систему, находим

Здесь ранг расширенной матрицы равен рангу основной матрицы и равен, очевидно, двум. Система имеет бесконечно много решений, каждое из которых можно получить, придавая х3 и х4 конкретные значения.
Дата добавления: 2015-07-24; просмотров: 4827;
