Расчет сопел

Для расчета сопла (направляющего аппарата) необходимо знать массовый расход пара через сопло G кг/сек; начальное давление пара Р0; начальную температуру пара t0 и давление за соплом Р1
Знание этих параметров позволяет определить в i-s диаграмме начальную А0 и конечную А1t точки изоэнтропического расширения пара в сопле и найти изоэнтропический теплоперепад h’a, Дж. Если известна скорость потока перед соплом С0, то по уравнению Бернулли можно определить и полную энтальпию i*t заторможенного потока и полный теплоперепад
, Дж.
Расчет размеров сопла можно вести с помощью построения в i-s координатах процесса расширения пара в сопле или аналитическим путем.
В первом случае с i-s - диаграммы снимается величина адиабатического теплоперепада и по нему определяется теоретическая скорость истечения пара из сопла.
, м/сек или
, м/сек
в зависимости от того учитывается входная скорость С0 или не учитывается.
Действительная скорость истечения

где, скоростной коэффициент сопла выбирается из таблиц продувки соплового профиля или по рекомендациям

Точку А1, конца действительного процесса расширения пара можно определить,
отложив вверх от точки А1t потерю кинетической энергии в сопле.

Параметры пара в точке А1 или А1t позволяют рассчитать нужные размеры сопел.
Турбинные сопла как правило выполняются прямоугольного сечения в виде целого сегмента, так как пропустить весь расход пара через одно сопло и не целесообразно и невозможно.
В зависимости от величины срабатываемого теплоперепада каналы сопел могут иметь или суживающуюся форму (докритические сопла) или сужено-расширенную форму (сверхкритические сопла).
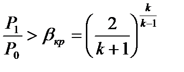
Как известно, критерием для выбора форме сопла служит так называемое критическое отношение давления. При
- ставят суживающиеся сопла, при 
- сужено-расширенные.
Дата добавления: 2015-07-22; просмотров: 2631;
