Расширяющиеся сопла

Обычно выполняют S0 = 1,0 мм., аmin = 5 – 6 мм., α1 = 12° - 18°
В расширяющихся соплах рассчитывают два сечения: минимальное аmin и выходное, т.е. а1.
Минимальное сечение сопла называется «критическим». Площадь критического сечения сопла
(1)
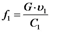
Площадь выходного сечения
определяется по уравнению массового расхода

где υ1- удельный объем пара при выходе из сопла (точка А1).
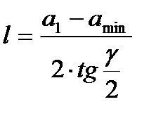
Длину расширяющейся части цилиндрического сопла

Угол расширения сопла γ обычно 6° - 12°. Большие углы приводят к отрыву струи пара от стенки сопла.
В применении к активным типам турбин полученные выше формулы несколько уточняются. Так например по исследованиям НЗЛ площадь минимального сечения сопел для турбин с двумя ступенями скорости при докритических теплоперепадах следует определять по формуле

где

Р1 – давление за ступенью.
= 0,546 – для перегретого пара и 0,577 для сухого насыщенного пара.
Для сверхкритических теплоперепадов, когда
применяется обычная формула, где Gкр - действительный расход пара через критическое сечение сопла

Известно, что для перегретого пара
, (k = 1,3);
= 0,546;
= 1,59·υ0
Тогда
(2)
Здесь Р0, Н/м2; υ0, м3/кг; Gкр, кг/сек
Для сухого насыщенного пара
, (k = 1,135);
= 0,577;
= 1,62·υ0
Тогда
(3)
Как показывают опыты коэффициент расхода μ ≈ 0,97 для перегретого пара и μ ≈ 1,02 для насыщенного пара. В силу этого Бенбеманом предложена общая формула для перегретого и насыщенного пара
, м2 (4)
или
(5)
где Р0, н/м2 и υ0, м3/кг.
Для газа к =1,4


Здесь Р0 в н/м2 ; и υ0, м3/кг.
Дата добавления: 2015-07-22; просмотров: 1593;
