Суживающиеся сопла

Высота сопла ld выполняется постоянной. Расчетным сечением суживающихся сопел является минимальное выходное сечение
, м2
Величину сечения сопел определяют по уравнению массового расхода:
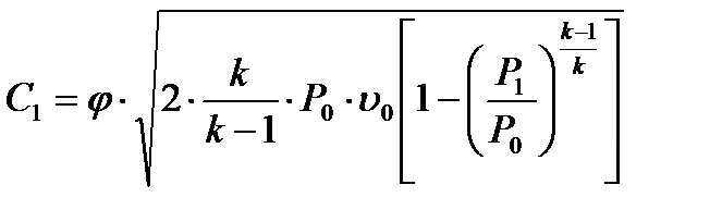
а) для течения с потерями
(1)
б) для изоэнтропического течения
(2)
При аналитическом расчете в уравнения (1) или (2) подставляют значения скорости

и удельного объема

и тогда
(3)
Из уравнения (3) определяют G или f1.
Выходную площадь сопла можно также определять с помощью коэффициента расхода μ, равного отношению

где
- теоретический массовый расход при истечении по адиабате (без потерь); G - действительный массовый расход, кг/сек.
Тогда

Значения коэффициента μ обычно определяются экспериментально.

Коэффициент расхода ступени скорости в зависимости от отношения
и степени порциальности ε для
.
Дата добавления: 2015-07-22; просмотров: 1372;
