Определение воздушной скорости и барометрической высоты.
Определение воздушной скорости и барометрической высоты в полете выполняется при помощи приемника воздушного давления (рис. ).

(объяснить устройство)
Рно — полный напор;
Рн — статическое давление.
Принцип измерения основан на уравнении Бернулли
, (3.1)
Где r —массовая плотность воздуха на высоте Н.

Поток не может протекать через внутреннюю трубку, так как она с другого конца подсоединена к измерительному элементу. Следовательно, точка на конце ПВД— критическая точка, в которой струйка при обтекании ПВД разветвляется, и скорость в этой точке равна нулю.

Тогда разность давлений, действующих на измерительный элемент,
(3.3)
Следовательно, замеренная указателем скорости величина перепада давлений Dрпредставляет собой скоростной напор набегающего потока q.
Из уравнения (3. 3) видно, что скорость самолета неоднозначно связана со скоростным напором q, так как в это уравнение, кроме самой скорости, входит плотность воздуха rh, изменяющаяся с высотой. Если бы плотность воздуха не изменялась, то шкалу указателя скорости было бы легко проградуировать по скорости.
Выйти из такого положения можно следующим образом.
Выражение (3.3) можно представить в виде
(3-4), где
– относительная плотность, а комплекс
– индикаторная скорость
В формуле (3.4) между индикаторной скоростью Vt и скоростным напором q существует однозначная зависимость. По этой формуле и градуируется шкала прибора по индикаторной скорости, физический смысл которой заключается в следующем: это скорость, которая была бы при том же скоростном напоре (фактическом) в случае Р=0, т. е. «у земли», в условиях стандартной атмосферы.
Истинная скорость полета определяется следующим выражением:
(3.5)
Но, известно, что формула Бернулли в виде (3.1) применима для несжимаемого газа, каковым он может считаться до 200 – 400 км/ч. При больших скоростях плотность зависит не только от высоты, но и от скорости. При наличии сжимаемости энергия набегающего потока в т.А будет расходоваться не только на создание скоростного напора, но и на сжатие воздуха.
В случае сжимаемого (если в потоке нет скачков уплотнения) потока для определения давления в критической точке ПВД пользуются уравнением, теплосодержания.
|
(3.7)
Из уравнения (3.7) видно, что показания прибора, определяемые величиной qCЖ:, не могут быть выражены через скорость, так как в данном случае скорость зависит не только от qCЖ, но и от плотности rн и давления рн. Неоднозначность не устраняется и в случае перехода от истинной скорости V к индикаторной Vi, так как в уравнении еще остается переменная величина рн.
(3.8)
Для сверхзвукового потока эта зависимость получается из формулы Релея для перепада давления на прямом скачке уплотнения и выглядит следующим образом 
Неоднозначность здесь тоже не устраняется
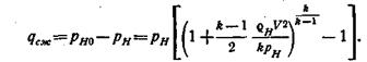
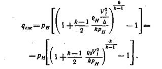
Для проведения градуировки шкалы указателя скорости нужно, очевидно, задаться определенным значением рн. Наиболее удобно выбрать «земное» давление рн=Ро=760 мм рт. ст. Индикаторная скорость, определенная при этом значении рн по перепаду qCЖ, называется индикаторной земной скоростью Vi3 .
Тарировка указателя скорости ведется по выражению
qCЖ =
Разность
называется поправкой на сжимаемость.
Выясним физическую сущность этой поправки. Как было отмечено выше, скоростной напор, действующий на чувствительный элемент указателя скорости, определяют исходя из зависимости (3.7, 3.9), учитывающей сжимаемость воздуха при рн=ро
С увеличением высоты давление рн уменьшается, а число М увеличивается.
При одном и.том же значении Vi величина М растет с уменьшением рн. Увеличение числа М по сравнению с его значением при Рн=Ро, естественно, приведет к дополнительному, не учтенному уравнением (3.7) сжатию воздуха на входе в приемник воздушного давления.
Таким образом поправка на сжимаемость выражает по существу лишь разность между поправками на сжимаемость при полете на одной и той же скорости V[3 на высоте, соответствующей давлению рн и на уровне моря р0.
Величины поправок на сжимаемостьдля разных значений Vl3 и Нр определяются аналитически и могут быть представлены в виде графической зависимости (рис. 3. 3).

Величина поправки на сжимаемость при Рн<Ро всегда отрицательна. Следовательно, скорость Vl3, определенная по шкале прибора, больше индикаторной скорости Vi.
Поправка на сжимаемость исправляет неправильную «интерпретацию» ПВД полного давления. Статическое давление воспринимается правильно. Вследствие этого поправку на сжимаемость в показания высотомера не вводится.

Рис.3.3
Дата добавления: 2015-07-22; просмотров: 1270;
