Раздел 7. Контактные явления
7.1. Термоэлектронная и фотоэлектрическая работа выхода. Контактная разность потенциалов. Потенциальные барьеры в контакте металл-полупроводник (модель Шоттки). Распределение концентрации электронов и потенциала в слое объемного заряда. Выпрямление в контакте металл-полупроводник. Вольт-амперная характеристика. Диодная и диффузионная теория выпрямления. Вольт-фарадная характеристика. Диод Шоттки. Омический контакт. Определение высоты барьера Шоттки на контакте металл-полупроводник. Высота барьеров, наблюдаемых у различных полупроводников. Влияние поверхностных состояний на высоту барьера. Приборы с барьером Шоттки в микроэлектронике.
7.2. Электронно-дырочный переход. Явления инжекции и экстракции. Теория выпрямления электронно-дырочного перехода, емкость р-n перехода. Биполярные приборы микроэлектроники с р-n переходами. Гетеропереходы. Типы гетеропереходов. Построение энергетической диаграммы гетероперехода. Электрические свойства гетеропереходов. Основные гетеропереходные пары. Приборы с гетеропереходами. Сверхрешетки. Приборы на сверхрешетках. Варизонные структуры и область их применения.
Термоэлектронная и фотоэлектрическая работа выхода. Контактная разность потенциалов. Потенциальные барьеры в контакте металл-полупроводник (модель Шоттки). Распределение концентрации электронов и потенциала в слое объемного заряда. Выпрямление в контакте металл-полупроводник. Вольт-амперная характеристика. Диодная и диффузионная теория выпрямления. Вольт-фарадная характеристика. Диод Шоттки. Омический контакт. Определение высоты барьера Шоттки на контакте металл-полупроводник. Высота барьеров, наблюдаемых у различных полупроводников. Влияние поверхностных состояний на высоту барьера. Приборы с барьером Шоттки в микроэлектронике.
Контактные явления -физические явления которые возникают в структурах с контактными (M/M, M/n, n/n)
Основные понятия физики контактов
Зонные модели М и П
-уровень вакуума (начало отсчёта энергии), уровень на котором кинетическая энергия ē=0
Фм и Фп – терм. Работы выхода электрона из М и П- энергия, которую нужно сообщить электрону для его перевода с уровня Ферми на уровень 
- энергия электронного сродства – внешняя (фотоэлектрическая) работа выхода- энергия, необходимая для перевода электрона с уровня
на уровень
Токи термоэлектронной эмиссии
Использование в эмиссионной модели контактов
Метан: jтэм=AT2e-Фμ/кт
-const Больцмана
Полупроводник: jтэп=А*Т2е-Фп/кт
(в А* вместо m0→m*n)
Контакт полупроводника с металлом
Выпрямляющий контакт: М/П (n-типа), если Фп<Фм -нелинейное вольтамперная характеристика (диод)
Невыпрямляющий контакт - линейка ВАХ (М/П(n-тип) – Фп > Фм)
Выпрямляющий контакт
М/П (n-тип) Фп < Фм
-х=0 –граница контакта
-уровни fм и fп при контакте выравниваются из-за обмена электронами между М и П
Зонная модель

Так как Фп<Фм при контакте электронов из П уходят в М и образуется двойной объёмный заряд:
в П (ионы доноров D+) в область толщиной d и
заряд на поверхности М (поверхностный d≈0)
d- толщина области объёмного заряда (ТООЗ) контакта М/П (n-типа)- слой повышенного сопротивления (Rконтакта>Rобъёма)
Происходит искривление зон полупроводника вверх на величину qUк=Фм-Фп , где
- контактная разность потенциалов.
Этот барьер препятствует уходу электронов из П в М, а со стороны М- возникает барьер
, препятствующий переходу электронов из М в П.
В равновесии потоки электронов уравновешивают друг друга и ток через переход=0 (j=0)
Нарушить равновесие можно, если приложить внешнее напряжение U, которое изменит барьер q(Uk±U), так как напряжение в структуре в основном падает слой с сопротивлением Rk
Распределение электростатического потенциала
и концентрации n(х) для выпрямляющего контакта М/П.
Используя уравнение Пуассона:
;
-объёмный заряд в области контакта
=q(
-n(x))=q(Nd-n(x))=q(
-n(x))
Граничные условия:
x=0
n=n0 - концентрация электронов при х=0 (Граница)
х→∞ φ=Uк n=n0 (Объём полупроводника)
n(x)=nк 


• Случай слабого искривления зон: q
<<1


Обозначим: 

-спадает по экспоненте.
- длина экранирования- глубины проникновения электрического поля в объём полупроводника.
• Случай сильного искривления:



При: х=0 
U=
d=
- толщина обедненного слоя
ВАХ выпрямляющего контакта М/П (n-типа)
Зонная модель контакта в равновесии (внешнее напряжение U=0)
В результате обмена электрополями м/у М и П из П в М течёт ток
, а из М в П→ток 
= -
, jn=jм=j0 -при равновесии потоков электронов (Fм=Fn) токи равны
• Прямая ветвь ВАХ - зависимость прямого тока через контакт jпр от внешнего напряжения – U
Полезность прямого смещения:
но П (n-типа) ) внешнее U падает на обедненное П,
но М ) сопротивление которого Rк<R объёма полупроводника
Зонная модель контакта при прямом смещении

Равновесие нарушается, уровень Fn может выше Fм на величину qUа –энергии электрона во внешнем поле
Барьер дна электронов из П в М уменьшается- ток jn возрастает (jn>j0), а так
=jм – не уменьшается- внешнее U не влияет на высоту барьера Фв
Плотность прямого тока:
jпр=jn-j0=j0
-j0=j0(
-1)
jпр=j0(
-1) -прямая ветвь ВАХ ток ↑ с U и зависит от Т
Обратная ветвь ВАХ jобр=f(Uобр)
Зонная модель контакта при обратном смещении
Полярность обратного смещения

Барьер для электронов, выходящих из П в М возрастает на величину qU ток из П в М-jn уменьшается, а ток j0-не измениться.
Обратный ток: jобр=jn-jм=j0
-j0
Обратная ветвь ВАХ jобр=j0(
-1)
Ток при малых U~
, а при больших jобр=j0 – ток насыщения контакта.
ВАХ выпрямляющего контакта

При больших прямых смещениях барьер исчезает и контакт становится невыпрямляющим- омическим с линейным ВАХ.
При больших обратных напряжениях (U<0) наступает резкое возрастание тока- пробой контакт- вплоть до разрушения
Реальная ВАХ: j=j0(
-1)
U>0- прямой ток
U<0 – обратный
U>(1-2) – возникает из-за туннельных токов (электроны проходят через барьер, а не над барьером) и рекомбинации электронов в области ОЗ
Электронно-дырочный переход. Явления инжекции и экстракции. Теория выпрямления электронно-дырочного перехода, емкость р-n перехода. Биполярные приборы микроэлектроники с р-n переходами. Гетеропереходы. Типы гетеропереходов. Построение энергетической диаграммы гетероперехода. Электрические свойства гетеропереходов. Основные гетеропереходные пары. Приборы с гетеропереходами. Сверхрешетки. Приборы на сверхрешетках. Варизонные структуры и область их применения.
p-n-переход
- структура полупроводника, состояние из контактирующих n и p областей кристалла
Резкий эксцентричный p-n-переход (NA>Nd)

Х=0 – металлургическая граница
При контакте n и p- областей происходит обмен носителями: электроны переходят в р – область, дырки в n – область. Возникает объёмный заряд
в n – области;
в p – области.
Распределение концентрации в p-n- перехода

nn , pp – концентрация основных носителей заряда
np , pn – концентрация не основных носителей заряда
dn и dp – толщина
и
объёмных зарядов в n и p- областей.
ТООЗ d=dn+dp – область сильного изменения концентрации носителей – есть физический p-n- переход.
Зонная модель p-n перехода в равновесие


Uк-контактная разность потенциалов
ионы доноров;
ионы акцепторов;
электроны;
дырки
Контактная разность потенциалов
Uк возникает в результате диффузионного перераспределения электронов и дырок
Uк=? nnpp= nnpp
= 
ni-собственная концентрация не основных зарядов Uк= 
Толщина объединённого слоя (ТООЗ)

Для резкого ассимметричного p-n перехода

Ёмкость p-n – перехода
p-n – образует плоский конденсатор пластины –более низкоомные р и n области, прилегающие к границам p-n- перехода, диэлектрик - обеднённый слой.
S-площадь p-n – перехода 
•прямое напряжение: U>0 d↑ C↓ повышение U
•обратное: U<0 d↓ C↑
Вольт-фарадная характеристика p-n – перехода (ВФХ)
Зависимость 
Из ВФХ определяем Uк

Вольт-фарадный метод определения концентрацией примеси.
Из измерения ёмкости p-n – перехода можно определить концентрацию примеси

Перенос заряда в p-n –переходе
Прямое смещение-
источника напряжена n-область
источник напряжения на р- области
Зонная модель p-n- перехода

-уменьшает контактную разность потенциалов, барьер p-n – перехода уменьшается на величину qU –термодинамическое равновесие нарушается следовательно происходит инжекция электронов в р – область, дырок в n- область, через p-n – течёт прямой электрический ток, образованный основными носителями.
Обратное смещение -
на n – область;
на p-область
-внешнее электрическое поле
совпадает по направлению с внутренним полем p-n – перехода.
Зонная модель p-n – перехода

Потенциальный барьер p-n – перехода увеличивается на qU –происходит перенос не основных носителей через p-n – переход:
• дырок из n – области в p - область
• электронов из p – области в n – область
Возникает обратный ток, образованный не основными носителями.
Плотность прямого и обратного тока зависит от приложенного напряжения
j=js(
) U>0 – прямое смещение; U<0 – обратное
js- ток насыщения (имеет диффузионную природу )
js=q(
)
Ln , Lp – диффузионная длина Dn, Dp- коэффициент диффузии np , pn – концентрация не основных носителей в р и n – областей p-n – перехода соответственно

При прямых смещениях n>>кт/q барьер p-n – перехода уменьшается (снимается) и прямой ток линейно зависит от U
При обратном смещении U>кт/q обратный ток достаёт насыщения: jобр=js и в дальнейшем может произойти резкое возрастание jобр – возникает при высоких обратных напряжениях.
При высоких обратных напряжениях возникает разное возрастание обратного тока (jобр>>Js) – явление пробоя p-n - перехода может быть обратимым и необратимым.
Омический контакт
М-П (n- тип), Фм<Фп
Зонные модели М и П до контакта

Зонная модель омического контакта

Так как Фм>Фn , то при контакте электроны из М перейдут в П, а на границе контакта возникает в объёме П – слой, обогащённый основным носителем; сопротивление этого слоя Rконт меньше сопротивления объёма П.
Происходит искривление зон П – вниз. Внешнее напряжение будет падать на объёме П (Rn>>Rк), поэтому так через контакт будет – линейная функция от U (как для омического сопротивления)
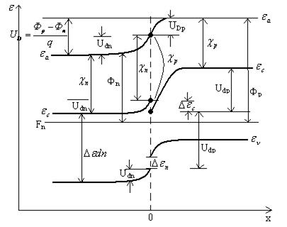
Гетеропереходы (ГП)
- контакты П с разными запрещёнными зонами.
Различают классические гетеропереходы (квантово-размерные структуры)
Классические ГП - полупроводники, структуры на трёх мерном электроне, газе;
Нано ГП – на низкомерном электроне, газе.
Классический анизотипный переход
- контакт широкозонного полупроводника n –типа (∆
dn) с полупроводником p –типа (∆
dp<∆
dn)
n и p – полупроводник до контакта

∆
+∆
=
-
∆
=
-
∆
=(
-
)=∆ 
ГП в равновесии (U=0)


При контакте – в результате обмена носителями → Fn = Fp и происходит искривление зон:
в n-типе: вверх
в p-типе: вниз.
В зоне проводимости структуры возникает разрыв, равный ∆Ec – барьер для электронов,
а в валентной зоне – разрыв - ∆Ev – барьер для дырок.
В состоянии равновесия ток равен нулю через переход, между n- и p- области полупроводников возникает диффузионная потенциал:

, где ε – диэлектрическая проницаемость , Nd и Nа – концентрация доноров в n – полупроводника и акцепторов в p – полупроводника.
Отличия p-n гетероперехода.
потенциальные барьеры для электронов и дырок – различные.
При прямом смещении – возникает явление односторонней инжекции электронов в p-обл., инжекции дырок – не происходит, т.к. барьер для дырок значительно больше , чем для электронов – это улучшает характеристики приборов.
Прямое смещение
«-» -на n-обл. «+» - на p-обл.
Поверхностные электронные состояния, их влияние на контактные явления.
Поверхностные состояния возникают на поверхности кристалла из-за обрыва связи кристаллической решетки и адсорбций примеси на поверхности и слое.
Поверхностные состояния, возникающие из-за обрыва, наз. собственными, и они образуют 2-х мерные энергетические зоны, которые накладывают на объемные зоны кристалла, а также на з.з. Энергия электронов определяется компонентами квазиимпульса P║, параллельными поверхности (если поверхность при x=0, то – Py и Pz).
Несобственные поверхностные состояния образуют поверхностные примесные центры – им соотв. дискретные уровни Es.
Зонные модели полупроводников с поверхностными состояниями
Поверхностный потенциал φS
Поверхностные состояния действуют на акцепторы или доноры.
Полупроводник n-типа
ПС – акцептор (ненасыщенная оборванная связь)

ПС – акцептор забирает электрон из приповерхностного слоя полупроводника – вследствие чего образуется «-» заряд на поверхности и «+» заряд в объеме полупроводника.
Двойной слой заряда приводит к возникновению электрического поля Е и электрического потенциала
- поверхностный потенциал = разности потенциалов между поверхностью и объемом.
Глубина проникновения электрического поля = глубине экранирования :

Энергетические зоны (уровни ЕС и ЕV) будут искривлены вверх:

EC0 , EV0 – уровни в объеме.
Таким образом приповерхностный слой будет обеднен основными носителями заряда и будет иметь проводимость ниже, чем объём.
ПС – донор – приповерхностный слой, обогащается основными носителями заряда и имеет повышенную проводимость

Т.о. ПС изменяют проводимость поверхности и искривляют энергетические уровни. Следовательно, будут влиять на явления в контактах.
Поверхностный потенциал 

,
- плотность поверхностного заряда,
= 
- плотность поверхностных состояний

- изменение электрического потенциала в приповерхностном слое
Поверхностная проводимость:
- избыточная проводимость, рассчитанная на единицу поверхности.


и
- подвижности в приповерхностном слое
Эффект поля
- изменение
под действием внешнего поля.

П/п помещают в конденсатор, на который подают внешнее напряжение U, что изменяет QS и 
Эффект используют для исследования поверхностных состояний
Влияние ПС на контактную разность потенциалов в структурах с барьером.
При большой плотности состояний они концентрируются вблизи середины запрещённой зоны
И фиксируют уровень ферми вблизи ур Ei
Это приводит к тому что контактная разность потенциалов не зависит от типа проводимости полупроводника и природы металла
НАНОГЕТЕРОПЕРЕХОД
на двухмерном электронном газе
- квантово размерные структуры на ультратонких n/n слоях (толщина слоя сравнима с длиной волны Де-Бройля электронного (дырочного) газа, которая составляет в твердом теле нанометры.
Квантование энергии электронов и дырок в полупроводнике
Ультратонкий слой

Размер n/n ограничен в направлении z - электронов не могут свободно двигаться в этом направлении, а в плоскости XY ведут себя как свободные электроны с массой m*
Ограничение движения электронов по оси z – приводит к образованию двух бесконечных потенциальных барьеров UD, расположенных на расстоянии Lz

Поэтому электроны (Блоховские) волны будут отражаться от барьеров, и электроны будут соответствовать не бегущие, а стоящие волны.
Стоячим волнам соответствуют компоненты волн. В.
KZn = 2П/λll = П/Lz• n
n = 1 – основное состояние электронов в Я
Значению KZ (n = 1) соответствует изменению энергии
ẽ : ∆E = ђ2/2m* (П/ Lz)2 – это энергия размерного квантования или квантово измерения эффективности

Энергетический спектр двумерного электрона - газа (2∆)
Е (n, kx, ky) = En + ђ2/2mx(kx2 + ky2)
En = ђ2/2mx (П/Lz•n)2
2D – наногетеропереход

Плотность состояний Nc2D

Дата добавления: 2015-08-26; просмотров: 2815;
