Раздел 4. Статистика равновесных носителей заряда
4.1 Распределение электронов и дырок по квантовым состояниям в главных энергетических зонах кристалла. Уровень Ферми. Поверхность Ферми. Плотность квантовых состояний для энергетических зон с изотропным и анизотропным законом дисперсии.
4.2 Концентрация электронов и дырок в зонах для различных степеней вырождения электронного или дырочного газа.
4.3 Статистика примесных состояний. Функция распределения электронов и дырок по примесным состояниям. Плотность примесных состояний. Примесные зоны. Влияние температуры и концентрации примеси на концентрацию свободных электронов и дырок.
4.4 Плотность квантовых состояний в квантово-размерных структурах с квантовыми ямами, квантовыми нитями и квантовыми точками.
Распределение электронов и дырок по квантовым состояниям в главных энергетических зонах кристалла. Уровень Ферми. Поверхность Ферми. Плотность квантовых состояний для энергетических зон с изотропным и анизотропным законом дисперсии.
Для определения s твердого тела необходимо знать равновесную (темновую) концентрацию электронов (n) и дырок (p).
Для определения n и p необходимо знать параметры зон – плотность квантовых состояний и вероятность их дополнения – функцию распределения электронов и h+ по состояниям.
Функции распределения электронов и дырок по квантовым состояниям разрешения зон (зона проводимости и валентная зона).
Электроны в металлах, полупроводниках подчиняются квантовой статистике. Вероятность заполнения уровня E при температуре T определяется функцией Ферми – Дирака: 
Электроны проводимости – фермионы – частицы, обладающие полуцелым спином, и подчиняются принципом Паули:

F – уровень (энергия) Ферми, или электрохимический потенциал.
Основные свойства функции fФ-Д :
При T ® 0 
При T = 0 функция терпит разрыв (то есть функция не определена).

Из графика следует, что f есть уровень, который разделяет занятые электронами состояния в зоне проводимости от свободных.
В металлах при T = 0: уровень F соответствует максимальной энергии электронов в зоне проводимости – энергии Ферми.

В
- пространстве вводят
поверхность Ферми,
которая соответствует энергии EF.

Внутри сферы Ф – находятся электроны проводимости.
Проводимость по зоне проводимости - есть жесткое смещение сферы Ф в - пространстве под действием внешнего электрического поля на величину Dkx.
При температурах T > 0:

fФ-Д = 0,5 и F имеет смысл уровня, вероятность заполнения которого ½.
Функция fФ-Д претерпевает наибольшее изменение для энергий вблизи F.
При (E – F) >> kT функция fФ-Д переходит в классическую функцию Максвелла – Больцмана:
– это высокоэнергетический хвост функции fФ-Д.

Уровень F ниже Ec на энергию не меньше kT.
В этом случае действует классическая статистика Максвелла – Больцмана и полупроводников, подчиняющиеся этой статистике – невырожденные (по концентрации).
Невырожденный полупроводник n-типа – полупроводник, в котором уровень F лежит ниже Ec в запрещенной зоне на величину не меньше kT.
Таким образом, в невырожденном полупроводнике на уровне f – нет электронов в отличие от металла!

Невырожденный полупроводник p-типа – уровень F лежит выше Ec на величину kT.
Плотность состояний N(E)
- это число квантовых состояний в зоне, приходящихся на единичный интервал энергии в кристалле единичного объема.
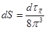
Предположим, что в интервале энергии: (E,E + dE) находится dS состояний.
Тогда для кристалла единичного объема: dS = N(E)dE пропорционально dE
N(E) = dS/dE – плотность состояний.
N(E) связана с формой поверхности равной энергии.
Интервалу dE соответствует шаровой слой объема , которым выделяют поверхности равной энергии:
E, E + dE = const

Число состояний 
- объем, приходящий на одно состояние.
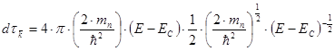
Плотность состояний в зоне проводимости
Эффективная масса – скалярная величина mn
N(E) = dS/dE dS – число состояний в интервале E, E + dE в кристалле единичного объема.

- элемент объема
- пространства, заключается между поверхностями равной энергии.
E = const и E +dE = const

Найдем
, используя закон дисперсии для полупроводника с изотропной эффективной массой электрона mn

Поверхности E, E + dE заключают объем
- пространства

(поверхности – сферы;
- шаровой слой)
- найдем из закона дисперсии:




Таким образом
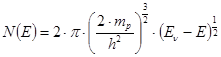
Для изотропной валентной зоны: (mp – эффективная масса дырки)

Таким образом, плотность состояний пропорциональна:


Зонная модель прямозонного полупроводника с использованием функций N(E)

Используется в физике полупроводниковых приборов.
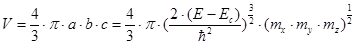
Плотность состояний в зоне проводимости многодолинного (непрямозонного) полупроводника
Эффективная масса mn - тензорная величина.
Закон дисперсии
- анизотропная квадратичная величина:

mC-1, mU-1, mZ-1 – компоненты эффективной массы.
Поверхности равной энергии – эллипсоидальные с полуосями.
a, b, c:

(j = x, y, z)
Объем эллипсоида: V = 4/3p * a b c
Объем , которым выделяют поверхности E и E + dE = const находят как приращение объема dV.




Таким образом, для одной долины:
N(E) = 2p (mx my mz)1/2 (2/h)3/2 (E – Ec)1/2
Для m-долин:
N(E) =m * 2p (mx my mz)1/2 (2/h2)3/2 (E – Ec)1/2
Приведем эту формулу к виду для прямозонного полупроводника.
Для этого введем понятие эффективной массы для плотности состояний mnd:
N(E) = 2p (2 mnd / h2) 3/2 (E – Ec)1/2
где mnd = m2/3 (mx my mz)1/2
Если поверхности – эллипсоиды вращения (электроны в Ge, Si)
mx = my = m^, mz =mïï
Таким образом, mnd = m2/3 (m2^ mïï)1/2\
m^ и mï½ определяется из эксперимента по циклотронному резонансу.
Смысл введения mnd
Позволяет многодолинную зону проводимости с анизотропной эффективной массой mn записать параболичной зоной с изотропной массой с одним абсолютным минимумом (нужно для вычисления концентраций).

Дата добавления: 2015-08-26; просмотров: 1828;
