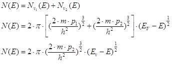
Концентрация электронов и дырок в зонах для различных степеней вырождения электронного или дырочного газа.
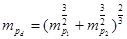
Эффективная масса дырок для плотности состояний - mpd
вводится для вырожденной валентной зоны (вырождение по энергии)
V1 и V2 – стыкуются в точке
- имеют одинаковую энергию, но разные волновые функции.
V1 – подзона тяжелых дырок с изотропной массой – mp1
V2 – подзона легких дырок с эффективной массой – mp2.
Плотность состояний для валентной зоны:


эффективная масса дырок для плотности состояний.
Таким образом, с введением mpd сложная V-зона заменяется параболичной невырожденной валентной зоной:
Модель полупроводников с mnd и mpd:

Концентрация электронов и дырок в условиях равновесия в темноте
Концентрация электронов в зоне проводимости.
В интервале E, E + dE в зоне проводимости кристалла единичного объема содержится dn-электронов:

В зоне проводимости: 
или 
Введем новые переменные:
x= E – Ec/ kT – энергия электронов в единичном kT, отсчитывается от дна Ec.
- приведенный уровень Ферми
– эффективная плотность состояний в зоне проводимости
Тогда
- интегралы Ферми:
от параметра
порядка 1/2.
- общая формула для любой степени вырождения электронного газа.
Приближенные значения
:
невырожденный электронный газ
промежуточный случай
сильновырожденный электронный газ (металлы, вырожденые полупроводники)
Концентрация электронов проводимости в невырожденных полупроводниках
Общая формула: 
NC – эффективная плотность состояний в зоне проводимости
- интеграл Ферми.
Рассмотрим: 
dn – число электронов в интервале E, E + dE зоны проводимости для V = 1


* - это указывает на незначительную концентрацию электронов в зоне проводимости – что характерно для невырожденного полупроводника.
Электроны распределены в узком интервале энергий вблизи дна зоны проводимости.
Определим n:


– концентрация зависит по экспоненте от T – признак невырожденности электронного газа.
Электропроводность полупроводника так же зависит по экспоненте от T:
(
- слабее зависит от T)
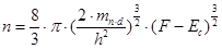
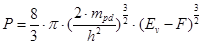
Концентрация электронов проводимости в сильновырожденном полупроводнике
Площадь под кривой
значительно больше, чем невырожденности полупроводника, что указывает на большую концентрацию электронов в зоне проводимости.
, где 


Таким образом, n не зависит от T – признак сильного вырождения электронного газа.
При T = 0 s ¹ 0 (как в металле)
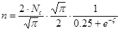
Для промежуточной системы вырождения электронного газа:


Концентрация дырок в полупроводнике p-типа
Невырожденный дырочный газ (полупроводник): 
Сильно вырожденный дырочный газ (полупроводник):

Сильновырожденный полупроводник p-типа:

Смысл Nc и Nv в статистике

Таким образом, при расчете n в невырожденном полупроводнике n-типа зону проводимости представляют как набор Nc числа уровней с одинаковой энергией Ec.
Nv – валентная зона состоит из Nv уровней с одинаковой энергией Ev.
Уравнение электрической нейтральности для полупроводников и диэлектриков
Для определения n, p необходимо знать положение уравнения Ферми. Его определяют из уравнения электронейтральности полупроводников (диэлектриков).
Смысл уравнения: в любом физически малом объеме полупроводника (диэлектрика) концентрация отрицательно свободных и связанных зарядов = концентрации свободных и связанных зарядов.
Свободные носители -
и h+
Связанные: дырки на уровнях донора – концентрация Pd (D+) электроны – акцептора - na (A-).


Собственный полупроводник
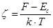
Уровень Ферми. Собственная концентрация носителей заряда.
Электронные процессы:
G0 и R0 – скорости процессов.

В равновесии G0 =R0.
Этому состоянию соответствует равенство n = p = ni
ni – собственная концентрация носителей заряда.
G0 – термическая генерация
и h+.
Энергия рекомбинирующих частиц(
+ h+) идет на нагрев кристалла (возбуждение определенных типов колебаний кристаллической решетки).
Определение Fi
Уравнение электронейтральности: n = p
Для невырожденных собственных полупроводников: 
Откуда: 
или 
Fi линейно зависит от T.

Собственная концентрация ni
откуда 
ni – зависит от DEg, плотности состояний в зонах и температурах:


линейно зависит от
.
Угловой коэффициент (
) 

Таким образом, по ni (T) можно определить DEg при T = 0 k.
Произведение np в невырожденном полупроводнике
- не зависит от положения уровня Ферми в полупроводнике.
Используется для определения концентрации неосновных носителей заряда по известной концентрации основных носителей заряда.
·
– Закон действующих масс для полупроводников n-типа.
· или
– Закон действующих масс для полупроводников p-типа.
Статистика примесных состояний. Функция распределения электронов и дырок по примесным состояниям. Плотность примесных состояний. Примесные зоны. Влияние температуры и концентрации примеси на концентрацию свободных электронов и дырок.
Статистика носителей заряда в легированных полупроводниках
Легирован мелкими донорами.
Концентрация доноров – Nd, энергия ионизации - DEd.
Электронные процессы

При T = 0 k доноры электрически нейтральны и концентрация электронов равна нулю.
При повышении T: доноры ионизуются и концентрация электронов будет равна концентрации ионизованных доноров. 
При росте T – все доноры ионизуются и концентрация электронов:
– концентрация доноров
- наступает истощение примеси.
Рассмотренный интервал T – область примесной проводимости.
Дальнейший рост T: в некотором диапазоне T n не будет зависеть от T, пока не начнется процесс ионизации собственных атомов (смотри *).
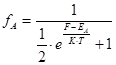
Функции распределения электронов и дырок по примесным состояниям ft
Функция ft должна отличаться от функции fФ-Д (E, T) из-за спинового вырождения состояний в энергетической зоне,

что увеличивает вероятность перехода электрона из зоны проводимости на уровень Ed.
Это учитывает функция ft в виде:
,где
gi – коэффициент, учитывающий спиновое вырождение уровней.
Ei – основной уровень примесного центра.
Функция распределения электронов по уровням доноров:
- определяет вероятность нахождения доноров в нейтральном состоянии D0 (D+ e-)*
Для доноров g = 2
Ed – основной уровень
* или электрона на уровне Ed
При f = Ed fd = 2/3 (выше, чем в зоне проводимости)
Вероятность нахождения донора в ионизованном состоянии:

или дырки на уровне донора.
Функция распределения дырок по уровням акцепторов
- вероятность нахождения акцепторов в нейтральном состоянии A0(A-h+)
для акцептора g = 2, EA – основной уровень.
Вероятность нахождения акцепторов в ионизированном состоянии:

(или вероятность нахождения электронов уровня EA – (А-) состояние акцептора)
А0(A-h+) = A- + h+ - ионизация акцептора, возникает дырка в валентной зоне или это адекватно переходу электрона из валентной зоны на уровень EA.
Дата добавления: 2015-08-26; просмотров: 3536;
