Диффузионные токи в полупроводниках и диэлектриках
В металлах диффузионные токи не существуют из-за высокой равновесной концентрации электронов. Диффузионные токи возникают при неравномерном освещении полупроводника
В освещенной части образца концентрация электронов > , чем в затемненной, - возникает градиент концентраций в результате чего электрон из левой части будет диффузировать в правую часть.
Аналогично - для дырок. Диффузия приводит к возникновению направленных потоков зарядов, т е возникает диффузионный ток.
Одномерный случай: вычислим jpn :
jpn = -qn*Dn*d(Δn)/dx=qDn d(Δn)/dx
Dn- коэффициент диффузии неравновесных e
Для дырок : jDp=-qpDpd(Δp)/dx=-qDpd(Δp)/dx
Коэффициент Dn и Dp определяют из соотношения Эйнштейна D=kT/q*μ
Объемный случай:
jDn= qDnDrn(r)
jDp= -qDpDrp(r)
Распределение избыточной концентрации неосновных носителей во времени. Время жизни неосновных носителей
Образец полупроводника n-типа при стационарном и импульсном освещении.
Стационарное освещение: в образце однородно возбуждается неравновесные носители

Рассмотрим низкий уровень возбуждения Δn<<n0 n0>>p0 Δp>> p0
n0, p0 - равновесные концентрации
В этих условиях сильно изменяются и концентрации дырок (Δp>> p0) – т е неосновных носителей
Найдем Δp из уравнения непрерывности : d(Δp) из уравнения непрерывности :
d(Δp)/dt=-1/q div jp+Gp-Rp
jp=0 т к нет диффузии и дрейфа дырок d(Δp)/dt=0, т к в условиях стационарного освещения Δp не зависят от t
Gp-Rp=0 , Gp=Rp процессы генерации и рекомбинации уравновешивают друг друга
В этом случае Δp= Δpстац – стационарное значение избыточной концентрации дырок в полупроводнике n-типа
Δpстац = -Gp*τp (Rp= Δp/Dp)
Импульсное освещение
Образец n-типа освещается прямоугольным импульсом света длительностью Δt>>τp

Ошибка: источник перекрестной ссылки не найден 
Найдем Δp(t) при выключении света уравнение непрерывности d(Δp)/dt=- Δp/τp (Gp=0)
Δp(t)=pстац*e-t/τp
Где Δpстац=Δp(0)

Время жизни неосновных носителей заряда в полупроводнике р-типа :
Низкий уровень инжекции
Δp<< p0 n0<<p0 Δn>>n0 т.е. сильно изменяется концентрация электронов – неосновных носителей заряда в р-типе. Концентрация основных носителей заряда не изменяется. При стационарном освещении Δnстац = Gnτn где τn время жизни электронов в р-типе.
При импульсном освещении : Δn(t)= Δnстац*e-t/τn Ошибка: источник перекрестной ссылки не найден
Т о τn – время, в течение которого избыточная концентрация Δn уменьшается в е-раз в результате рекомбинации.
Распределение избыточной концентрации неосновных носителей заряда в пространстве
Найдем распределение Δp(x) в образце n-типа при отсутствии электрического поля (E=0) – диффузионное приближение в сильном ЭП.
Дифуззионное приближение. Диффузионная длина неосновных носителей.

При х=0 – инжектирующая плоскость – вводим стационарно дырки в концентрации Δp(0)
Определим Δp(х) в условиях диффузии и рекомбинации: ∂(Δp)/∂t=-1/q div jpD-Δp/τp
В этом случае ∂(Δp)/∂t=0: jpD=-qDp∂(Δp)/∂x
Dp div (∂(Δp)/∂x)-Δp/τp=0
∂2(Δp)/∂x2 – Δp/ τp Dp=0
Введем величину Lp2=Dpτp
∂2(Δp)/∂x2 – Δp=0
Граничные условия : Δp(x)|x→∞=0(p=p0)
Δp(x)|x=0=Δp(0)
Т е Δp(x) убывает с расстоянием в результате рекомбинации дырок
Общее решение : Δp(x)=A*ex/Lp+B*e-x/Lp
A=0 из граничных условий
D= Δp(0)
Т е Δp(x)= Δp(0)e-x/Lp – избыточная концентрация неосновных носителей заряда – дырок в образце n-типа
Спадает по exp-закону с характер. Длиной
Lp=√Dpτp Lp-диффузионная длина дырок – расстояние на котором Δp(0) уменьшается в е раз, или расстояние которое проходят дырки в образце n-типа за время их жизни
Ошибка: источник перекрестной ссылки не найден
Для электронов в р-типе
Δn(x)= Δn(0)e-x/Ln
Где Lp=√Dpτp для линейной рекомбинации
Биполярный коэффициент диффузии, дрейфовая подвижность и диффузионная длина. Экспериментальные данные для Ge, Si и GaAs. Движение неравновесных носителей заряда в электрическом поле. Длина затягивания по полю и против поля. Инжекция, экстракция, аккумуляция и эксклюзия неравновесных носителей заряда.
Биполярная диффузия. Биполярная диффузионная длина
При освещении образца полупроводника ростом из области сильного поглощения генерируются е и n вблизи освещенной поверхности – возникает градиент концентраций е и по отношению к неосвещенной поверхности.
e и n диффузируют в объем образца при этом е упрежают дырки( т к μn>μp) что приводит к возникновению ЭП ED, которое ускоряет дырки- происходит совместная диффузия е и n – биполярная диффузия, которая характеризуется биполярным коэффициентом диффузии – D и биполярной диффузионной длиной L
D=(n+p)/(n/Dp+p/Dn) или D=(n0+p0)/(n0/Dp+p0/Dn) – для низкого уровня инжекции
Образец n-тип n0>>p0
D=Dp – т о биполярный коэффициент D определяет коэффициент Диффузии неосновных носителей заряда Dp
p-тип D=Dn
Собственный п/п D=2niDnDp/ni(Dn+Dp)=2DnDp/(Dn+Dp)
Ошибка: источник перекрестной ссылки не найденБиполярная диффузионная длина L=√Dτпары
Диэлектрическое время релаксации-τn
Среднее время жизни объемного заряда неравновесных носителей – объемный заряд исчезает в результате проводимости: ∂ρg/∂t = - div jd
Id=σE div jd=div(σE)=(divσ)E+σdivE
div jd= σdivE
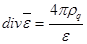
divE=4π*ρg/E
т о ∂ρg/∂t=-4πσ/E* ρg Введем τm=E/4πσ
о ∂ρg/∂t=-ρg/ τm ρg(t)= ρ(0)e-t/tm
ρ(0)=- ρ(t) t=0
Т о объемный заряд основных носителей заряда ρg сгорает по exp-закону с характеристическим временем
τm=E/4 πσ
τm<< τn,τp

Ошибка: источник перекрестной ссылки не найден
Если вводим ρg слева то справа через τn такой же заряд ρg должен уйти из образца в цепь через время τm
Дрейфовая длина неосновных носителей
Найдем распределение Δp(x) в n-типе в условиях сильного поля (диффузии нет)
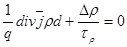
∂(Δp)/∂T=-1/q div jpd- Δp/τp ; ∂(Δp)/∂T=0
1/q div jpd+Δp/τp=0
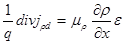
div jpd=div(qpμp)E=qμp∂p/∂xE+qμpp*divE
1/q div jpd=μp∂p/∂xE
p(x)=Δp(0)e-x/e
Дрейфовая длина неравновесных дырок (lp) в полупроводнике n-типа
Определим из уравнения непреывности при условии E≠0, дир. Jpd=0
∂(Δp)/∂x- Δp/(μpEτp)=0 Обозначим lp=μpEτp
∂(Δp)/∂x-Δp/lp=0
lp – расстояние которое проходят неравновесные дырки со скоростью дрейфа
Δp(x)= Δp(0)*e-x/lp
Δp(x) – убывает с расстоянием от плоскости инжекции х=0 по экспоненте.
Инжекция и экстракция неравновесных носителей
Инжекция – обогащение объема полупроводника неравновесными неосновными носителями при наложении электрического поля на полупроводник.
Экстракция - обеднение
τμ<<τn τρ
ē
јd
Объёмный заряд основной носитель заряда вводится при пропускании тока через образец.
Если вводим ρq слева, то справа через τμ такой же заряд ρq должен уйти из образца в цепь через время τμ
Дрейф неосновных носителей
Найдём распределение ∆ρ(х) в n-типе в условиях сильного поля (диффузии нет)

;


Дрейфовая длина неравновесных дырок (еρ) в полупроводниках n-типа
Определить из уравнения непрерывности, при условии
, div( jρ)=0
Обозначаем: 

-расстояние, которое проходят неравновесные дырки со скоростью дрейфа
за время жизни 

убывание с расстоянием от площадки инжекции х=0 по exp
Инжекция и экстракция неравновесных носителей
Инжекция- обогащение объёма полупроводника неравновесными не основными носителями наложений электрического поля на полупроводник
Экстракция- обеднение
Полупроводник n-типа:
Поверхностная рекомбинация не основных носителей
На поверхности реальных кристаллов имеются центры рекомбинации в объёме, которые эффективно уменьшают время жизни
и избыточную концентрацию
в приповерхностном слое.
Рекомбинационные свойства поверхности оценивают темпом поверхности рекомбинации Us (количество носителей заряда, которые рекомбинируют на единицу поверхности в секунду) и скорость поверхности рекомбинации S
S связывает Us с избытком концентрации неравновесных носителей
Us=S
(для объёмности рекомбинации)
S-зависит от качества обработки поверхности, для свежесколотой поверхности S=0
Поверхностное время жизни
(объёмное), поэтому рекомбинационные свойства кристалла оценивают эффективным временем жизни
.
Распределение избыточной концентрации
при поверхностной рекомбинации
-уменьшается при х=0 , поэтому к поверхности будет направлен поток дырок
-D
/х=0=Us
пока есть неравновесные дырки в объёме
Коэффициент инжекции
отношение плотности тока не основных носителей заряда к суммарному току через полупроводник.
Используют для оценки инжекционных свойств контактов.
Дата добавления: 2015-08-26; просмотров: 2402;
