Методы стандартизации
При прямой стандартизации** повозрастные коэффициенты смертности реального населения перевзвешиваются по возрастной структуре стандарта. Таким образом получается то число смертей, которое имело бы место в реальном населении, если бы его возрастная структура была такой же, как и возрастная структура стандарта. Разделив это число на число смертей в стандартном населении, получают индекс прямой стандартизации. Если общий коэффициент смертности стандарта умножить на этот индекс, то получим стандартизованный общий коэффициент смертности, который показывает, какова была бы величина общего коэффициента смертности в реальном населении, если бы его возрастная структура была такой же, как и возрастная структура стандарта.
Отсюда CMRcmаm = CMR0-Iпр , где CMRcman - стандартизованный общий коэффициент смертности; CMR0 - общий коэффициент смертности стандарта.
Прямую стандартизацию можно применять, если известны повозрастные коэффициенты смертности сравниваемых реальных населений и возрастная структура стандарта. При этом за стандартную возрастную структуру можно принять либо возрастную структуру какого-либо реального населения, либо искусственно сконструированную.
При прямой стандартизации существует опасность, что и индекс стандартизации и стандартизованный коэффициент окажутся под влиянием повозрастного коэффициента, вес которого мал в реальном населении и, напротив, велик в населении стандартном. Избежать этой опасности позволяет косвенная стандартизация.
В случае косвенной стандартизации* поступают прямо противоположным образом: повозрастные коэффициенты смертности стандарта перевзвешиваются по возрастной структуре реального населения. Таким образом получается то число смертей, которое бы имело место в реальном населении, если бы его возрастная смертность была такой же, как и повозрастная смертность стандартного населения. Разделив число смертей в реальном населении на их ожидаемое число, получают индекс косвенной стандартизации. Если общий коэффициент смертности стандарта умножить на этот индекс, то получим стандартизованный общий коэффициент смертности, который показывает, какова была бы величина общего коэффициента смертности в реальном населении, если бы повозрастные коэффициенты смертности в нем были такими же, как и в населении стандарта.
Все сказанное можно выразить в виде следующей формулы:

где 1косв - индекс косвенной стандартизации; Pх1 - возрастная структура реального населения, выраженная в абсолютных величинах или долях; тх0 - повозрастные коэффициенты смертности в стандартном населении и тх1 - повозрастные коэффициенты смертности в данном населении.
Отсюда CMRcman - CMR0 - 1косв, где CMRcman - стандартизованный общий коэффициент смертности; CMR0 - общий коэффициент стандарта смертности.
Косвенную стандартизацию целесообразно применять, если известны возрастные структуры реального населения и стандарта и повозрастные интенсивности демографических процессов в стандартном населении.
Косвенная стандартизация имеет широкое применение при анализе смертности, для которого она, собственно, и была разработана. Однако в последние полвека метод косвенной стандартизации активно применяется и в изучении рождаемости. Сфера его применения здесь - это анализ сравнительной роли демографической структуры (возрастной, брачной и др.) и поведения индивидов в формировании уровня рождаемости, о чем шла речь в предыдущей главе. В частности, именно косвенная стандартизация лежит в основе индексов рождаемости Э. Коула и модели т.н. гипотетического минимума естественной рождаемости В.А. Борисова.
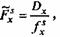
Метод обратной стандартизации* , иначе называемый методом ожидаемой численности населения, применяется в том случае, когда отсутствуют данные о возрастной структуре данного населения, но зато есть данные об его общей численности и о числе демографических событий в нем (случай нередкий во многих развивающихся странах, где переписи населения стали проводиться лишь недавно). А также, разумеется, известны повозрастные коэффициенты смертности стандарта. Зная это, можно восстановить условную среднюю численность всех возрастных групп реального населения при условии, что реальное население имеет те же повозрастные коэффициенты смертности, что и население стандарта. Для этого надо просто поделить известное число смертей на стандартный повозрастный коэффициент смертности:

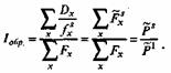
где fxs - условная численность группы в возрасте х лет; Dx - реальное число смертей и fxs - повозрастные коэффициенты смертности стандарта. Тогда, просуммировав все Fxs , можно восстановить ту общую численность населения, которая должна была бы быть, если бы реальное население имело те же повозрастные коэффициенты смертности, что и население стандарта. И затем, поделив эту условную численность на реальную, получим индекс обратной стандартизации:

В знаменателе этого выражения стоит реальная средняя численность населения, в числителе - его гипотетическая («ожидаемая») численность, которая при стандартных повозрастных интенсивностях смертности продуцировала бы в каждом возрасте фактическое число смертей.
Умножив индекс обратной стандартизации на общий коэффициент стандарта смертности, получим стандартизованный общий коэффициент смертности, то значение общего коэффициента смертности для реального населения, которое бы имело место, если бы его повозрастные коэффициенты смертности были такими же, что и в населении стандарта.
Завершая данный параграф, необходимо подчеркнуть следующее. Используя стандартизованные коэффициенты смертности, надо помнить, что они не имеют самостоятельного значения, поскольку зависят от выбранного стандарта. Поэтому сфера их применения ограничивается лишь сравнением различных населений друг с другом и то при условии, что стандартизация проведена одним и тем же методом и с использованием одного и того же стандарта. При этом в качестве стандарта необходимо выбирать население (реальное или искусственно сконструированное), демографическая структура которого (возрастная прежде всего) близка к возрастным структурам сравниваемых населений, хотя и отличается от них.
Дата добавления: 2015-07-14; просмотров: 902;
