ПОКАЗАТЕЛИ УРОВНЯ СМЕРТНОСТИ
Для измерения смертности используется система показателей. Самым первым и простым из них является абсолютное число смертей. Статистические органы собирают и публикуют данные о числе смертей за год, а в последнее время и за более краткие периоды времени. Однако этот показатель, подобно всем абсолютным демографическим показателям, сильно зависит как от общей численности населения, так и от его структуры, прежде всего возрастно-половой.

где D - число случаев смерти за период времени Т; P • Т - общее число человеко-лет, прожитых населением за период Т.
Если же речь идет о периоде, равном 1 году, то общий коэффициент смертности равен просто:

Первым относительным показателем уровня смертности является общий коэффициент смертности (ОКС, или CMR). В общем случае он равен отношению числа случаев смерти за период времени Т к общему числу человеко-лет, прожитых населением за этот период:
Общий коэффициент смертности одновременно является и ее специальным коэффициентом, поскольку все люди смертны. Динамика общего коэффициента за ряд лет позволяет получить самое первое представление об изменениях уровня смертности. В табл. 6.1 приведены данные о динамике общего коэффициента смертности в России за ряд лет. Однако ограничиваться только данными об общем коэффициенте смертности было бы абсолютно неправильно, поскольку он является весьма грубым и приблизительным измерителем ее уровня. На его величину чрезвычайно сильно влияет возрастно-половая структура населения, поэтому пользоваться им надо весьма осторожно, стремясь устранить или, по крайней мере, максимально уменьшить влияние демографической структуры. Кроме того, величина общего коэффициента смертности зависит и от уровня рождаемости: при прочих равных условиях чем выше рождаемость, тем выше и общий коэффициент смертности, поскольку тем выше доля детей в возрасте до года, смертность которых выше, чем во многих других возрастах.
Влияние возрастно-половой структуры устраняется прежде всего использованием частных коэффициентов смертности, т.е. коэффициентов смертности для различных групп населения: для мужчин и женщин, для города и села, для разных брачных состояний и т.п.
Как и в случае изучения рождаемости, среди частных коэффициентов смертности важнейшее место принадлежит ее повозрастным коэффициентам, которые рассчитываются отдельно для мужчин и женщин как отношение числа смертей в том или ином возрасте к среднегодовой численности мужчин или женщин в этом возрасте:

где ASMRX - повозрастные коэффициенты смертности; n DХ - числа умерших на интервале возраста (х + n); п Рх – среднегодовая численность населения (мужчин или женщин) в интервале возраста (х + п).
Анализ" повозрастных коэффициентов смертности позволяет выявить различия в уровнях смертности по отдельным возрастным группам. Анализ смертности должен начинаться именно с выявления роли и динамики повозрастных коэффициентов смертности, а затем уж и других факторов.
Таблица 6.1
Динамика общих коэффициентов смертности, Россия, 1960-2000 гг., %о
| Годы | Все население | Городское население | Сельское население |
| 7,4 | 6,7 | 8,2 | |
| 7,4 | 6,8 | 8,3 | |
| 7,7 | 6,9 | 8,8 | |
| 7,5 | 6.8 | 8,4 | |
| 7,2 | 6,6 | 8,0 | |
| 7,6 | 6,9 | 8,6 | |
| 7.6 | 7,0 | 8,6 | |
| 7,9 | 7,2 | 9.1 | |
| 8,1 | 7,4 | 9,2 | |
| 8,5 | 7,8 | 9,8 | |
| 8,7 | 7,9 | 10,0 | |
| 8,7 | 8.0 | 10,0 | |
| 9,0 | 8,1 | 10,5 | |
| 9,2 | 8,3 | 10,9 | |
| 9,2 | 8,3 | 10,9 | |
| 9,8 | 8,8 | 11,8 | |
| 10,0 | 9,0 | 12,1 | |
| 10,2 | 9,2 | 12,4 | |
| 10,3 | 9,4 | 12,4 | |
| 10,8 | 9,8 | 13,1 | |
| 11,0 | 10,0 | 13.4 | |
| 10,9 | 9,9 | 13,3 | |
| 10,7 | 9,8 | 13,0 | |
| 11,1 | 10,1 | 13,5 | |
| 11,6 | 10,6 | 14.3 | |
| 11,3 | 10,3 | 14,0 | |
| 10.4 | 9,6 | 12.5 | |
| 10,5 | 9,7 | 12,7 | |
| 1988 1989 | 10,7 10,7 | 9,9 10,0 | 13,0 12,7 |
| 11,2 | 10,4 | 13,3 | |
| 11,4 | 10,6 | 13,4 | |
| 12,2 | 11,5 | 14,1 | |
| 14,5 | 13,8 | 16,4 | |
| 15.7 | 15,0 | 17,5 | |
| 15,0 | 14,4 | 16,5 | |
| 14,2 | 13,4 | 16,2 | |
| 13,8 | 12,9 | 16,1 | |
| 13,6 | 12,9 | 15,6 | |
| 14,7 | 14,0 | 16,6 | |
| 15,4 | 14,7 | 17,0 |
Источник: Демографический ежегодник РФ.2001. М., 2001. С. 55-57.
График 6.1
Динамика повозрастной смертности в России в 90-е гг. (логарифмическая шкала)

Специалисты считают повозрастные коэффициенты смертности наилучшим инструментом анализа этого демографического процесса. Недостатком является, пожалуй, их большое (до сотни) количество, а также некоторая подверженность влиянию возрастной аккумуляции. Но эти недостатки устраняются расчетом коэффициентов не для одногодичных, а для пятилетних возрастных интервалов. Пятилетние коэффициенты свободны от недостатков одногодичных, а их точность вполне достаточна для большинства практических целей. На графике 6.1 показана динамика повозрастных коэффициентов смертности в России за 90-е гг. На графике 6.2 приведены данные, иллюстрирующие соотношение мужской и женской смертности в нашей стране в те же годы.
Среди повозрастных коэффициентов смертности особое место занимает коэффициент младенческой смертности, т.е. показатель, измеряющий смертность детей в возрасте до года.

График 6.2
Соотношение мужской и женской повозрастной смертности, 1990-1997 гг.
Смертность в возрасте до года, с одной стороны, резко превышает смертность в других возрастах, кроме самых старших. С другой же стороны, величина младенческой смертности служит мощным и весьма информативным показателем уровня социально-экономического развития страны.
Коэффициент младенческой смертности рассчитывается не так, как остальные повозрастные коэффициенты. По своей природе показатель младенческой смертности является, строго говоря, не коэффициентом, а вероятностью. При его вычислении число смертей детей в возрасте до 1 года делится не на их среднегодовую численность, а на число родившихся. Дело в том, что для этой возрастной группы понятие среднегодовой численности практически неопределимо. К тому же вероятности смерти в начале и в конце первого года жизни сильно отличаются друг от друга.
Если мы посмотрим на совокупность умерших в течение календарного года в возрасте 0 лет, то увидим, что эта совокупность образуется из детей, родившихся как в данном, так и в прошлом году (график 6.3). В квадрате ABCD расположены смертные точки детей, умерших в 2000 г. в возрасте до 1 года. Прекрасно видно, что часть этих детей (элементарная совокупность, изображаемая треугольником ACD) родилась в том же 2000 г., а другая (элементарная совокупность, изображаемая треугольником ABC) - в 1999 г.
Расчетная формула для вероятности (коэффициента) смертности на первом году жизни должна, очевидно, учитывать факт принадлежности умерших к разным поколениям. Это делается с помощью различных приближений, выбор которых определяется наличием соответствующей статистической информации и требуемой точностью вычислений.
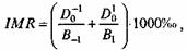
Если известны только общие данные о числах родившихся и умерших в том или ином году и не нужна большая точность оценки величины коэффициента младенческой смертности, то оценка коэффициента младенческой смертности может быть получена с помощью простого деления числа умерших детей на число родившихся в том же году. Однако эта оценка будет наиболее грубой и приблизительной. К тому же делать это можно только тогда, когда годовые колебания как чисел родившихся, так и чисел умерших невелики. Если же соседние годы сильно отличаются друг от друга в этом отношении, то величина ошибки оценки может выйти за допустимые пределы. В этом случае прибегают к т.н. формуле Ратса, названной так по имени предложившего ее немецкого статистика и демографа Йоханнеса Ратса (1854-1933). В своем общем виде формула Ратса выглядит следующим образом:

где IMR - коэффициент младенческой смертности: D0 - число детей в возрасте до 1 года, умерших в данном году; В_1 - число родившихся в прошлом году; В1 - число родившихся в данном году: (a и b - веса, причем и b = 1.
Веса и b подбираются, исходя из распределения умерших детей по месяцам первого года жизни. Если бы это распределение было равномерным, т.е. если бы вероятность умереть была одинаковой для любого месяца 1 года жизни, то = 1/2. В действительности же это не так: вероятность смерти уменьшается с возрастом. Чем старше ребенок, тем меньше вероятность того, что он умрет, не дожив до года. При этом одновременно с уменьшением младенческой смертности происходит ее сдвиг к самым ранним возрастам. Поэтому с течением времени весовые коэффициенты в формуле Ратса приходится менять. Ратс принимал a = 2/3, b = 1/3. В настоящее время эти веса чаще всего принимаются равными соответственно 3/4 и 1/4. В некоторых странах, где уровни младенческой смертности малы, в качестве весов принимаются значения a = 4/5 и b = 1/5 или даже более резко отличающиеся друг от друга.
График 6.3 Совокупности умерших на первом году жизни.

Формула Ратса предназначена для использования в тех случаях, когда известны только численности родившихся в данном и предыдущем году и умерших на первом году жизни, но неизвестно распределение умерших по поколениям или неизвестны численности элементарных совокупностей ABC и ACD, т.е. неизвестно, кто из умерших в возрасте до года родился в прошлом году и в данном. Формула Ратса используется также и в учебных целях, поскольку публикуемые статистические данные о младенческой смертности не дают распределения умерших в возрасте до года по поколениям.
В действительности же современная статистика располагает такого рода информацией, и потому на самом деле коэффициент младенческой смертности рассчитывается как сумма двух независимых коэффициентов, первый из которых равен отношению числа умерших в данном году из совокупности родившихся в прошлом, а второй - отношению числа умерших в данном году из совокупности родившихся также в данном году:

где D0 -1 и d01 - дети, умершие в возрасте 0 лет, соответственно из числа родившихся в прошлом (B-1) и данном (51) году. Во вставке приведен официальный методический комментарий Госкомстата России, использующего именно эту формулу расчета коэффициента младенческой смертности.
В табл. 6.2 для иллюстрации сказанного приведены величины коэффициента младенческой смертности, рассчитанные по всем приведенным выше формулам, и дается их сравнение с официальными данными Госкомстата РФ.
Как видим, все эти оценки коэффициента младенческой смертности достаточно близки друг к другу, однако «грубая оценка», как правило, завышает реальный уровень младенческой смертности. Динамика последнего в нашей стране в 90-е гг. показана также на графике 6.4.

Коэффициенты младенческой смертности вычисле-
число умерших в возрасте до 1 года из родившихся в том году, для которого вычисляется коэффициент; М 1 - число умерших в возрасте до 1 года из родившихся в предыдущем году; N1- число родившихся в том году, для которого вычисляется коэффициент; N 1 - число родившихся в предыдущем году. Демографический ежегодник РФ 1998. М., 1998. С. 180.
На графике 6.4 отчетливо видно довольно заметное (более 2%о) повышение коэффициента младенческой смертности в 1993 г. Это повышение связано с переходом нашей страны на международный стандарт определения живорождения. Этот факт интересен, помимо прочего, тем, что ярко демонстрирует зависимость величины показателя от того, как определена и операционализирована переменная. Он показывает, как важно правильно и адекватно определить правила измерения той или иной переменной.
До 1993 г. в СССР и в России применялось свое, доморо-
Таблица б Сравнение величин коэффициента младенческой смертности, рассчитанных по разным методикам. Россия, отдельные годы
| Годы | Родившиеся | Умершие в возрасте до года | «Грубая оценка» | Формула Ратса | Данные Госкомстата РФ | ||
| (a =2/3; b =1/3) | (a=3/4; b=1/4) | (a=4/5; b=1/5) | |||||
| 36,7 | - | - | - | 36,6 | |||
| 22,9 | 23,1 | 23,0 | 23,0 | 23,0 | |||
| 23,6 | 23,7 | 23,7 | 23,7 | 23,7 | |||
| 22,0 | 22,1 | 22,1 | 22,1 | 22,1 | |||
| 20,8 | 20,7 | 20,7 | 20,7 | 20,7 | |||
| 17,6 | 17,1 | 17,3 | 17,3 | 17,4 | |||
| 1993* | 13789S3 | 20,3 | 79,3 | 19.5 | 19,7 | 19,9 | |
| 18,2 | 18,0 | 18,1 | 18,1 | 18,1 | |||
| 17,1 | 16,8 | 16,8 | 16,9 | 16,9 |
Источник: Демографический ежегодник РФ. 2001. М., 2001. С. 56.
щенное определение живорождения, которое существенно отличалось от принятого в международной практике. Ребенок считался родившимся живым, если его масса была не менее 1000 г или длина тела не менее 35 см и при этом длительность беременности должна была составлять не менее 28 недель. Но самое главное, родившийся ребенок должен был хотя бы некоторое время самостоятельно дышать. Все другие признаки жизни не учитывались, и ребенок считался родившимся мертвым, если он не начинал дышать. При этом все появившиеся на свет с массой 500-999 г считались родившимися мертвыми и регистрировались в органах загса только в случае, если они прожили более 168 часов (7 суток).
График 6.4 Динамика младенческой смертности в 90-е гг.

В 1993 г. Россия перешла на международный стандарт определения живорождения, в соответствии с которым под живорождением понимается полное изгнание или извлечение из организма матери продукта зачатия вне зависимости от продолжительности беременности, причем плод после такого отделения дышит или проявляет любые другие признаки жизни (сердцебиение, пульсация пуповины или произвольные сокращения мускулатуры) независимо от того, перерезана ли пуповина и отделилась ли плацента. Однако старое правило регистрации действует и сейчас. Так что наш переход на международные стандарты нельзя считать полным и завершенным. Отечественная государственная статистика по-прежнему не содержит данных о случаях рождения живыми и смертей детей с массой тела менее 1000 г. Они учитываются только медицинской статистикой, поскольку органы здравоохранения обязаны регистрировать всех родившихся живыми и мертвыми с массой тела менее 1000 г (или длиной тела 25 см и более, или сроком беременности не менее 22 недель).
Рождением ребенка (живорождением) до 1 января 1993 г. считалось полное выделение или извлечение из организма матери плода при сроке беременности 28 недель и больше (т.е. плода ростом 35 см и больше, массой 1000 г и больше), который после отделения от тела матери сделал самостоятельно хотя бы один вдох. К живорожденным относились также плоды, родившиеся до 28 недель беременности (т. е. ростом менее 35 см и массой тела менее 1000 г) и прожившие дольше 7 дней (т. е. дольше конца перинатального периода...).
С 1 января 1993 г. в Российской Федерации принято следующее определение живорождения: «Живорождением является полное изгнание или извлечение продукта зачатия из организма матери вне зависимости от продолжительности беременности, причем плод после такого отделения дышит или , проявляет другие признаки жизни, такие как сердцебиение, пульсация пуповины или произвольные движения мускулатуры, независимо от того, перерезана пуповина и отделилась ли плацента. Каждый продукт такого рождения рассматривается как живорожденный». Согласно действующей инструкции, в органах загса и в государственной статистике учитываются дети с массой тела при рождении 1000 г и более (или, если масса неизвестна, с длиной тела 35 см и более, либо со сроком беременности 28 недель и более), включая живорожденных с массой тела менее 1000 г при многоплодных родах; все родившиеся с массой тела от 500 до 999 г также подлежат регистрации в органах загса в тех случаях, когда они прожили после рождения более 168 часов (7 суток). Демографический ежегодник Российской Федерации 1999. М., 1999. С. 46.
Переход России на международное определение живорождения привел к некоторому повышению коэффициента младенческой смертности в 1993-1994 гг. В настоящее время показатель младенческой смертности в России снижается (по данным за 7 месяцев 2001 г. он опустился ниже отметки 16%о), что говорит о том, что российское здравоохранение все-таки живо и, по крайней мере, в том, что касается неонатологии, преодолевает сегодняшние трудности.
Дата добавления: 2015-07-14; просмотров: 1963;
