ЭЛЕМЕНТЫ ОРГАНИЗАЦИИ ТЕРРИТОРИИ 7 страница
Известен классический пример расчета экономической эффективности землеустройства, предложенный А. В. Чаяновым (Чаянов В. А. Землеустройство и таксация в научном наследии А. В. Чаянова/Под ред. и с предисловием С. Н. Волкова. — М.: ГУЗ, 2000. - С. 33-35).
Прирост ценности земли (У), по его мнению, равняется капитализированному эффекту землеустройства:

|
| После землеустройства |
|
| Эффект землеустройства составит |
|
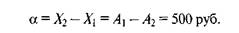
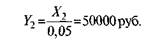
Предположим, что земельная площадь хозяйства составляет 200 га, валовой доход В= 15 тыс. руб., издержки производства А\ = 13 тыс. руб., затраты на землеустроительные работы К= 1500 руб. В результате проведения землеустроительных работ ежегодные издержки сокращаются до А2= 12500руб. Тогда земельная рента до землеустройства будет равна
|
| а после землеустройства |
|
| Таким образом, стоимость земли увеличится на |
|
Стоимость земель до землеустройства, принимая процент капитализации Р= 5 %, составит
Экономический эффект землеустройства можно оценить двояко:
|
| б) по приросту стоимости по отношению к этим вложениям: |
|
а) по приросту дохода на дополнительно вложенный капитал:
В данном случае землеустройство оказалось исключительно выгодным, так как ставка дохода 33,3 % на вложенный капитал намного выше любой мыслимой нормы.
5. ЗЕМЛЕУСТРОЙСТВО, ТОПОГРАФО-ГЕОДЕЗИЧЕСКИЕ И ОБСЛЕДОВАТЕЛЬСКИЕ РАБОТЫ
Проведение землеустройства немыслимо без производства то-пографо-геодезических, картографических и других съемочных работ. Эти работы обычно предшествуют землеустройству, так как их результатом является план землеустраиваемой местности. Они нужны и по завершении землеустройства, когда составляется технический проект, который затем выносится в натуру.
В ходе землеустройства получают обширный съемочный материал в виде планов и сети точек местности, соответствующим образом обозначенных и закрепленных. Этот материал можно использовать как для земельно-кадастровых, так и для топографо-геодезических и картографических целей, что требует увязки съемочных землеустроительных работ по точности и технологиям измерений с аналогичными действиями организаций в области кадастра, геодезии и картографии.
Основой качественной характеристики земель, используемой при землеустройстве, являются материалы крупномасштабных почвенных, агрохимических и геоботанических обследований и изысканий. Поскольку в ходе землеустройства земля чаще всего организуется не только как природный ресурс и объект земельно-имущественных отношений, но и как главное средство производства в сельском хозяйстве, эти материалы абсолютно необходимы при организации рационального использования и охраны земли.
Землеустроительные организации должны либо самостоятельно проводить эти обследования и изыскания, либо использовать имеющиеся данные других профильных организаций.
6. ЗЕМЛЕУСТРОЙСТВО И ЗЕМЕЛЬНО-ИНФОРМАЦИОННЫЕ
СИСТЕМЫ
В последнее время в мире и в нашей стране широкое применение в практике управления природопользованием получили географические информационные системы (ТИС, GIS) и земельно-информационные системы (ЗИС, LIS).
Географическая информационная система — это специализированная вычислительная система, включающая определенные технические средства, программное обеспечение и совокупность процедур, предназначенных для сбора, хранения, обработки и воспроизведения большого объема графических и тематических данных, имеющих пространственную привязку. Основу ГИС составляют электронные карты (планы) местности, базирующиеся на цифровых моделях рельефа (ЦМР), характеризующих трехмерное расположение объектов в пространстве.
Изначально геоинформационные технологии и ГИС были ори-
ентированы на принятие управленческих решений, связанных с различными территориями. В странах ЕС, США и Канаде ими оснащались в первую очередь администрации городов, муниципальные власти. К основным задачам, решаемым на территориальном уровне с использованием ГИС, относятся:
картирование земель;
совершенствование учета недвижимости, составление реестров собственности (земельных участков, зданий, сооружений) с привязкой к территории и точным определением местоположения;
научно обоснованное перспективное и оперативное планирование развития территории городов, районов, отдельных территорий на основе разработки генеральных планов использования и охраны земель;
изучение состояния природных ресурсов, экологического состояния территории и эколого-экономическая оценка окружающей природной среды;
получение достоверной информации о местоположении и эксплуатации дорог, инженерных сетей коммунального хозяйства, запасах полезных ископаемых и т. д.;
принятие разного рода решений по управлению муниципальным хозяйством (размещение объектов производственной и социальной инфраструктуры, организация текущего ремонта зданий и сооружений, разработка маршрутов и расписаний движения общественного транспорта, налогообложение, планирование инвестиций, разработка планов эвакуации в чрезвычайных ситуациях и др.);
контроль за состоянием муниципального хозяйства (мониторинг земель, состояния энерго-, тепло-, водообеспечения).
Начало развития ГИС относится к концу 60-х годов, но только в 90-х годах они получили широкое распространение, что было вызвано очень быстрым развитием компьютерной техники и снижением ее стоимости, появлением мощных периферийных устройств ввода, вывода, хранения и обработки информации.
Развитие систем автоматизированного картографирования (AM — от англ. Automapping), используемых в земельном кадастре для учета и оценки земли и связанной с ней недвижимости, систем автоматизированного проектирования (САД) привело к появлению специальных земельно-информационных систем, широко используемых во всем мире при проведении землеустроительных работ. Основное их отличие от ГИС заключается в следующем:
земельно-информационные системы содержат прежде всего сведения о земельных ресурсах и объектах, прочно связанных с землей;
информация о земельных участках, содержащаяся в ЗИС, отвечает определенным требованиям к точности измерений, ввода и вывода данных, что обеспечивает точную геодезическую привязку
земель на местности и отражение их на планах (картах), то есть земельно-информационные системы являются более точными, чем ГИС;
в общую структуру земельно-информационной системы как специального вычислительного комплекса в качестве самостоятельных подсистем входят блоки автоматизированного картографирования, автоматизированного проектирования, управления базами данных, позволяющие не только строить в различном масштабе карты с использованием средств цифровой фотограмметрии и картографии, но и производить различные геодезические действия (вычисление площадей, измерение расстояний, определение координат и др.) с требуемой точностью;
основное назначение земельно-информационной системы — служить информационной базой управления земельными ресурсами.
Таким образом, землеустройство и ведение земельно-информационных комплексов относятся к одной сфере — к управлению земельными ресурсами. Однако землеустройство — понятие более широкое и емкое. Во-первых, ЗИС являются только «аппаратными», технологическими средствами для принятия качественных решений в области организации землепользования. Другими словами, ЗИС используются как своего рода метод землеустроительного автоматизированного проектирования, дающий возможность быстро получить тот или иной вариант организации территории.
Во-вторых, землеустройство всегда имеет правовое и социально-экономическое содержание. Поэтому любое землеустроительное решение, в том числе и полученное с использованием земельно-информационных систем, должно быть в соответствии с определенной правовой процедурой рассмотрено, согласовано и утверждено. Только после этого оно имеет право на существование, переносится в натуру и становится элементом землеустройства.
Тем не менее развитие земельно-информационных систем уже в ближайшем будущем во многом будет определять облик землеустройства.
7.ЗЕМЛЕУСТРОЙСТВО, ПЕРЕСЕЛЕНИЕ И РАССЕЛЕНИЕ
Практически во всех странах мира время от времени происходит перемещение населения из одних мест проживания в другие. Если это перемещение носит локальный характер и осуществляется в пределах небольшой территории (например, сельскохозяйственных предприятий, административных районов и т. п.), оно называется расселением. Если же речь идет о переброске массы людей на большие расстояния, что связано не только с изменением их места жительства, но также природных и экономических условий их обитания, соответствующие действия называют переселе-
нием. В обоих случаях, однако, возникают сходные проблемы, связанные со строительством жилья, объектов инфраструктуры, с транспортом и т. д.
В землеустроительной литературе встречается также термин «колонизация», означающий заселение недостаточно освоенных и заселенных пространств; мероприятия по переселению и расселению в этом случае относятся к внутренней колонизации.
Такие действия всегда сопровождаются землеустройством, в ходе которого распределяются (делятся) новые земли, устраивается новая территория. Не случайно землеустроительные органы часто имели отделы землеустройства и переселения, а в 20-х годах в нашей стране даже действовал научно-исследовательский институт «Госземколонит», занимающийся вопросами землеустройства и переселения. Вопросы переселения всегда относились к сфере земельной политики государства.
Землеустройство и переселение (расселение) связаны теснейшие образом. Это объясняется следующими причинами:
переселению всегда предшествуют землеустроительные работы по изучению и обследованию земель; землеустроитель и геодезист всегда ступают первыми на осваиваемую территорию;
само переселение сопровождается распределением и устройством территории, то есть непосредственно землеустройством;
в ходе землеустройства всегда определяется размещение мест строительства новых населенных пунктов, хозяйственных и производственных центров, составляющих систему расселения на данной территории или систему мер по ее совершенствованию;
при землеустройстве обязательно решаются вопросы размещения объектов социальной и производственной инфраструктуры, обеспечивающих нормальную жизнь и работу населения, строительства дорог, организации водоснабжения, энергообеспечения и т. п.
В последние годы ряд практических работников строительных министерств, ведомств и организаций выдвигают градостроительные и расселенческие мероприятия (зонирование территории, градостроительный кадастр, градостроительное проектирование) в число приоритетных, определяющих устройство не только городских, но и других территорий. Землеустроительная наука, однако, свидетельствует о том, что организация рационального использования и охраны земель логически предшествует любым градостроительным и переселенческим действиям.
Во-первых, при землеустройстве всегда определяют перспективы развития земель населенных пунктов, но взятых не изолированно, а с учетом всех категорий земельного фонда и всех видов угодий во взаимосвязи.
Во-вторых, только при землеустройстве происходит одновременная увязка вопросов регулирования землепользования, раз-
вития производства и совершенствования расселения, которая затрагивает не только городские, пригородные, но и другие территории.
В-третьих, при решении вопросов планировки и застройки населенных пунктов всегда учитывают местоположение городской черты, устанавливаемой только в ходе землеустроительных работ, а также привязывают элементы планировочной структуры (выходы улиц, проездов, коллекторов и др.), размещение функциональных зон застройки к соответствующим элементам организации территории (дорогам, инженерным сетям, ландшафтным особенностям), имеющимся за пределами селений.
Таким образом, составлению градостроительных проектов, проектов планировки и застройки селений должна предшествовать разработка схем землеустройства административно-территориальных образований, проектов земельно-хозяйственного устройства городов и установления их городской черты, а для сельской местности — проектов межхозяйственного землеустройства с формированием новых или упорядочением существующих землевладений и землепользовании, а также проектов внутрихозяйственного землеустройства.
8. ЗЕМЛЕУСТРОЙСТВО И МЕЛИОРАЦИЯ ЗЕМЕЛЬ
Мелиоративные мероприятия по орошению и осушению земель и более широко по улучшению физико-химических и биологических свойств земельных участков имеют огромное хозяйственное значение для большинства стран мира. Опыт показывает, что организация рационального использования земель невозможна без одновременного осуществления мелиоративных мероприятий и землеустройства.
Это обусловлено тем, что проведение мелиоративных мероприятий (по орошению, осушению, улучшению земель) осуществляется не вообще на каких-то абстрактных участках, а на конкретных земельных массивах, принадлежащих определенным землевладельцам и землепользователям. Поэтому данные мелиоративные земли должны не только вписываться в общую систему ведения хозяйства, учитываться при планировании урожайности и структуры посевов, рационов кормления, способов содержания скота и т. п., но и входить в общую организационно-территориальную структуру сельскохозяйственного предприятия (то есть соединяться дорогами с хозяйственными центрами, определять размещение угодий и севооборотов, полей и рабочих участков, скотопрогонов и т.д.).
Поэтому мелиоративные мероприятия с технической и технологической точки зрения должны осуществляться на основе проектов мелиорации (технико-рабочих проектов), а с организацион-
Но
но-хозяйственной и землеустроительной — на основе проектов землеустройства, которые должны составляться первыми и предшествовать проектам мелиорации.
Мелиорация и землеустройство, безусловно, различаются, поскольку объектом мелиорации является земля как физическое тело. Цель мелиорации — улучшить производительные свойства конкретного земельного участка, что требует определенных капиталовложений и увеличения эксплуатационных затрат.
Напротив, объектом землеустройства является территория, а главная его цель — улучшение ее организации. В процессе землеустройства изменяются в первую очередь территориальные свойства земли (состав и площади угодий, размещение угодий и севооборотов, границы, форма и конфигурация земельных массивов и т. д.). Такое изменение не может рассматриваться вне процессов хозяйственной деятельности; поэтому при землеустройстве обязательно решаются две важнейшие задачи:
приспособление территории к производству (отвод земель для соответствующих нужд, установление состава и площадей угодий, формирование земельных массивов, размещение их границ и т.д.);
приспособление производства к территории (установление специализации, структуры посевов с учетом качества земель, проектирование различных типов и видов севооборотов, дифференцированное размещение культур и т. п.).
Землеустройство в отличие от мелиорации имеет помимо технической также экономическую, экологическую и юридическую стороны. Соответственно при землеустройстве не только наводят порядок в существующем использовании земли (ликвидация меж, клиньев, введение севооборотов, проектирование рабочих участков), но и устанавливают наилучшие способы развития хозяйства (мелиорация, культуртехнические мероприятия, производственное строительство, размещение дорог и т.д.). Во избежание ошибок решение всех перечисленных вопросов должно осуществляться при непосредственном участии землеустроительных органов или по согласованию с ними. Это же касается и территориального планирования производства.
9. ЗЕМЛЕУСТРОЙСТВО И ОРГАНИЗАЦИЯ ПРОИЗВОДСТВА В СЕЛЬСКОХОЗЯЙСТВЕННЫХ ПРЕДПРИЯТИЯХ
Все главные вопросы организации производства в сельскохозяйственных предприятиях связаны с использованием земли. Земельные массивы в обозначаемых границах отводятся внутрихозяйственным производственным подразделениям; территориальные особенности землепользования и система расселения определяют организационно-производственную структуру предприятий;
специализация, сочетание отраслей, тип кормопроизводства и содержания скота, структура посевных площадей зависят от качества, местоположения и площадей земельных участков хозяйства; размещение севооборотов и полей, сенокосооборотных и пастбищных участков, кварталов и клеток многолетних насаждений влияет на организацию труда и его производительность и т. д.
Таким образом, эффективная система ведения хозяйства и организация производства сельскохозяйственного предприятия немыслимы без рациональной организации его территории, то есть без землеустройства.
Рациональная организация территории должна лежать и в основе внедрения прогрессивных систем земледелия. Они опираются на технологии возделывания сельскохозяйственных культур, ориентированные на агротехнически однородные рабочие участки, выделяемые в ходе землеустройства. Поэтому никакая система земледелия не будет эффективной и действенной, если она не учитывает качественных особенностей конкретных участков, организации территории и производства в хозяйстве.
Идеальным является вариант, когда проект внутрихозяйственного землеустройства разрабатывается одновременно с бизнес-планом (планом организационно-хозяйственного устройства) сельскохозяйственного предприятия или лежит в его основе. Правильно составленный проект землеустройства, в подготовке которого участвуют специалисты разного профиля (землеустроители, агрономы, экономисты, почвоведы и др.), включающий комплексные расчеты по агроэкономическому обоснованию (см. Т. 2 настоящего издания), дает полную информацию об организации производства и территории хозяйства.
Таким образом, при разработке и внедрении прогрессивных систем земледелия в сельскохозяйственных предприятиях наряду с агрономами обязательно должны участвовать и землеустроители. Не случайно в 1978 г. тогдашний руководитель СССР, землеустроитель по своему базовому образованию Л. И. Брежнев в книге «Целина» писал: «В сельском хозяйстве с нулевым циклом можно сравнить землеустроительные работы, ибо землеустройство — это своего рода генеральный план, которым определяются контуры и характер хозяйства, расположение и размер его полей, лугов, пастбищ, места для строительства усадеб, источники водоснабжения и многое другое, очень важное для жизни и производства» (Брежнев Л. И. Целина. - М., 1978.-С. 12-13).
Еще раньше, в 20—40-е годы, об этом писали видные ученые-аграрники, занимающиеся вопросами организации сельскохозяйственного производства и внедрения новых систем земледелия: В. Р. Вильяме, С. Г. Колеснев и др. В последней четверти XX в. академики РАСХН А. А. Жученко, А. Н. Каштанов, В. И. Кирю-шин, возглавляющие крупнейшие школы развития адаптивного сельского хозяйства, ландшафтно-экологического и адаптивно-
ландшафтного земледелия, в своих исследованиях и экспериментах опирались на труды землеустроителей [Жученко А. А. Стратегия адаптивной интенсификации сельского хозяйства (концепция). — Пущино, 1994; Каштанов А. Н., Лисецкий Ф. Н., Швебс Г. И. Основы ландшафтно-экологического земледелия. — М.: Колос, 1994; Кирюшин В. И. Экологические основы земледелия. —М.: Колос, 1996].
Центральные научно-исследовательские институты России данного профиля: ВНИЭТУСХ (директор — академик РАСХН В. В. Милосердое), ВНИЭСХ (директор — член-корреспондент РАСХН И. Г. Ушачев), ВИАПИ (директор — член-корреспондент РАСХН А. В. Петриков), а также региональные институты Российской академии сельскохозяйственных наук всегда согласуют свои исследования с учеными-землеустроителями.
10. ЗЕМЛЕУСТРОЙСТВО И РЕЛИГИЯ
Люди древних цивилизаций придавали очень большое значение землеустройству. Границы между участками строго охранялись законами и указами правителей. Межевые (пограничные) знаки были освящены религией. На них часто наносили тексты, славшие проклятия на головы нарушителей межевых знаков, например: «Cursed is he that removed his neighbors land-mark» [«Будь проклят тот, кто передвинет межевой знак (камень) соседа» — англ. См.: Тетерин Г. Н. История развития геодезии. — Новосибирск: СГГА, 1999. - С. 86].
Закладка межевых камней сопровождалась религиозными обрядами, жертвоприношениями. У римлян был бог границ Терми-ний. Ежегодно 13 февраля у пограничного камня отмечался день, посвященный этому богу.
Древние, наделявшие своих богов разными качествами и способностями, включали в последние и землемерие. Так, египетский бог Тог именовался строителем храмов, каналов, указывающим границы полей, измерившим землю сию, владыкой начертания и т. д.
Упоминание о землемерии есть в Библии. Известно, что земледелие в древности было одним из главных источников средств к существованию и основной сферой деятельности населения. Это занятие пользовалось всеобщим уважением, и его не чуждались даже люди богатые и знатные.
Моисей, который был обучен всей премудрости Египетской (Деян.: 7, 22), при занятии израильтянами земли Обетованной сделал земледелие одним из оснований закона Моисеева. Земля принадлежала Иегове. «Моя есть земля», — говорил сам Бог о себе (Лев.: 25, 23) и даровал землю своему народу. Он повелел равномерно разделить ее по числу лиц мужского пола. Сообразно с этим
при Иисусе Навине земля была разделена на участки и каждый «по особому размежеванию» получил известный участок (Нав.: 27, 5; Ам.: 7, 17, и др.).
В Библии также сказано: «Не нарушай межи ближнего твоего, которую положили предки в уделе твоем. Доставшемся тебе в земле, которую Господь, Бог твой, дает тебе во владение (Вт.: 19, 14).
Относительно земли и межевания некоторые притчи Соломоновы гласят: «Кто возделывает землю свою, тот будет насыщаться хлебом; а кто идет по следам празднолюбцев, тот скудоумен» (12, 11); «Много хлеба бывает и на ниве бедных, но некоторые гибнут от беспорядка» (13, 23); «Не передвигай межи давней и на поля сирот не заходи» (23, 10). Пророк Исайя сказал: «Горе вам, прибавляющие дом к дому, присоединяющие поле к полю, так что другим не остается места, как будто вы одни поселены на земле» (Ис: 5, 8).
В Коране, священной книге мусульман, также есть аяты (фразы или их фрагменты), которые предписывают уважительное отношение к земле и указывают на наличие определенных территорий и границ, в рамках которых живут народы.
Например, сура (глава) вторая, аят 269 (267) гласит: «О вы, которые уверовали! Расходуйте лучшее из того, что приобрели, и того, что извели Мы вам из земли. И не устремляйтесь к дурному из этого, чтобы расходовать...». В трех предыдущих аятах есть образные сравнения силы веры с садом на холме: «...его постиг ливень, и он принес свои плоды вдвойне. А если не постиг его ливень, то роса». И наоборот, кто верует «... подобен он скале, на которой земля: но постиг ее ливень и оставил голой» (Коран. Перевод и комментарии И. Ю. Крачковского. — М.: Наука, 1990. — С. 57—58). Очевидно, уже в эпоху Мухаммеда арабы имели представление об эрозии, о рациональном составе земельных угодий на склонах (не пашня, а сад) и необходимости целесообразного использования земель.
В Исламе очень рано появляются правовые термины «вакф» (вакуф) — имущество, переданное для нужд общины, государства или частного лица (в состав которого может входить и земля), и «аз-зар» — договор об аренде земли, а также другие, характеризующие земельные отношения. Например, в VIII—IX вв. вводятся понятия «дар ас-сульх» (или «дар аль-ахд») — земля (мирного) договора, «харадж» — поземельная подать, взимавшаяся за использование земель в виде доли урожая или по твердой ставке натурой или деньгами и др. (Ислам. Краткий справочник. — М.: Наука, 1983. — С. 32—44, 47—116).
В Коране словом «ризк» называются средства существования, которые Аллах дает человеку. С XVI в. в Османской империи этим словом называли участок земли, приносящий доход.
Заметим, что буддизм, а также национальные религии Китая и
Японии (даосизм, синтоизм, конфуцианство), представляя собой специфические типы мировосприятия, по нашим данным, не придают особого значения отношению человека к устройству земли.
В христианских странах землеустройство по-прежнему считается очень важным делом, требующим от землеустроителя не только хороших профессиональных знаний, но и особой духовной подготовки и воспитания. Не случайно профессия землеустроителя часто является потомственной, а землемеры США и ряда других стран, принимая профессиональную присягу, клянутся Богом, обещая честно и добросовестно выполнять землеустроительные работы.
С 1766 г. землемеры России, а также понятые, участвующие в генеральном межевании, также принимали присягу, в которой клялись Всемогущим Богом перед святым Его Евангелием и обещали поступать по чистой совести при использовании землеустроительных дел.
В Константиновском межевом институте (ныне Государственном университете по землеустройству) — центре подготовки межевых инженеров (землеустроителей) для всей России — в 1869 г. была введена в действие и освящена домовая православная церковь во имя святых Константина и матери его Елены. В настоящее время она восстановлена и действует в Государственном университете по землеустройству.
Контрольные вопросы и задания
1.Регулирует ли землеустройство земельные отношения?
2. Как связано землеустройство с регистрацией объектов недвижимого имущества, земельным кадастром, мониторингом и оценкой земель?
3. Для чего нужны при землеустройстве топографо-геодезические и обследовательские работы?
4. Как используются в землеустройстве земельно-информационные системы?
5. Почему землеустроительные мероприятия должны лежать в основе переселенческих, расселенческих и градостроительных действий?
6. Чем землеустройство отличается от мелиорации?
7. Почему организация территории определяет организацию производства сельскохозяйственных предприятий и должна увязываться с системами ведения хозяйства и системами земледелия?
8. Расскажите, какое значение придавали землеустройству различные религии мира.
Раздел К ИСТОРИЯ ЗЕМЛЕУСТРОЙСТВА В РОССИИ
•
Г л а в а 7
ЗЕМЛЕУСТРОЙСТВО В ДРЕВНЕРУССКОМ И МОСКОВСКОМ ГОСУДАРСТВЕ (IX—XVI вв.)
1. ОБРАЗОВАНИЕ ДРЕВНЕРУССКОГО ГОСУДАРСТВА И ЕГО ТЕРРИТОРИИ
История Древнерусского государства — это трехвековая история Киевской Руси. Самая древняя из дошедших до нас хроник «Повесть временных лет», созданная в начале XII в. летописцем Нестором, начинается с трех вопросов: «Откуда есть пошла Русская земля? Кто в Киеве нача первее княжити? И с коих пор Русская земля стала есть?».
Первый вопрос — основной. Русская земля — это и территория, и богатство, и самое главное — государство.
В IX в. Восточная Европа была уже достаточно освоенной и оживленной территорией. Здесь проходил важный торговый путь «из варяг в греки», соединявший Балтийское и Черное моря посредством рек бассейна Волхова и Невы с севера и Днепра с юга. Восточнее шли караванные маршруты из мусульманского Востока на христианский Запад.
Торговые отношения первоначально поддерживались с юга греками-византийцами, с севера — норманнами (скандинавскими племенами, которых на Руси называли варягами), а начиная с VIII в. также и хазарами, которые поселились в прикаспийских степях, низовьях Волги и создали ранее государство Хазарский каганат.
Благодаря устойчивым торговым связям в это время среди славянских племен, проживавших вблизи Днепровско-Волховского пути, стали развиваться более прогрессивные формы быта, существенно отличавшиеся от родового строя, которым продолжали жить древляне, вятичи и другие племена, отдаленные от этого торгового пути.
Сначала здесь появились временные торговые поселения (центры); со временем они превратились в древние русские города: Киев, Чернигов, Смоленск, Полоцк, Новгород и др. Торговый город занял место прежних племенных владений и подчинял себе окрестную, часто довольно значительную территорию, население которой признавало власть городских старейшин.
Дата добавления: 2016-07-09; просмотров: 992;
