Энзимология как учение о ферментах. Простые и сложные ферменты. 9 страница
е) дегидрирование сукцината с образованием фумарата и молекулы ФАДН2 (рис. 7.7, реакция 7). Фермент сукцинатдегидрогеназа прочно связан с внутренней мембраной митохондрии.
ж) гидратация фумарата, в результате чего в молекуле продукта реакции появляется легко окисляемая гидроксильная группа (рис. 7.7, реакция 8).
з) дегидрирование малата, приводящее к образованию оксалоацетата и третьей молекулы НАДН (рис.7.7, реакция 9). Образующийся в реакции оксалоацетат может вновь использоваться в реакции конденсации с очередной молекулой ацетил-КоА (рис. 7.6, реакция 1). Поэтому данный процесс носит циклический характер.
7.4.3. Таким образом, в результате описанных реакций подвергается полному окислению ацетильный остаток СН3-СО-. Количество молекул ацетил-КоА, превращаемых в митохондриях в единицу времени, зависит от концентрации оксалоацетата. Основные пути увеличения концентрации оксалоацетата в митохондриях (соответствующие реакции будут рассмотрены позднее):
а) карбоксилирование пирувата – присоединение к пирувату молекулы СО2 с затратой энергии АТФ;
б) дезаминирование или трансаминирование аспартата – отщепление аминогруппы с образованием на её месте кетогруппы.
7.4.4. Некоторые метаболиты цикла Кребса могут использоваться для синтеза структурных блоков для построения сложных молекул. Так, оксалоацетат может превращаться в аминокислоту аспартат, а α–кетоглутарат – в аминокислоту глутамат. Сукцинил-КоА принимает участие в синтезе гема – простетической группы гемоглобина. Таким образом, реакции цикла Кребса могут участвовать как в процессах катаболизма, так и анаболизма, то есть цикл Кребса выполняет амфиболическую функцию (см. 7.1).
Раздел 8.1
Дыхательная цепь и окислительное фосфорилирование.
8.1.1. В пируватдегидрогеназной реакции и в цикле Кребса происходит дегидрирование (окисление) субстратов (пируват, изоцитрат, α-кетоглутарат, сукцинат, малат). В результате этих реакций образуются НАДН и ФАДН2. Эти восстановленные формы коферментов окисляются в митохондриальной дыхательной цепи. Окисление НАДН и ФАДН2, протекающее сопряжённо с синтезом АТФ из АДФ и Н3РО4 называется окислительным фосфорилированием.
Схема строения митохондрии показана на рисунке 8.1. Митохондрии представляют собой внутриклеточные органеллы, имеющие две мембраны: наружную (1) и внутреннюю (2). Внутренняя митохондриальная мембрана образует многочисленные складки – кристы (3). Пространство, ограниченное внутренней митохондриальной мембраной, носит название матрикс (4), пространство, ограниченное наружной и внутренней мембранами, - межмембранное пространство (5).
Рисунок 8.1. Схема строения митохондрии.
8.1.2. Дыхательная цепь – последовательная цепь ферментов, осуществляющая перенос ионов водорода и электронов от окисляемых субстратов к молекулярному кислороду – конечному акцептору водорода. В ходе этих реакций выделение энергии происходит постепенно, небольшими порциями, и она может быть аккумулирована в форме АТФ. Локализация ферментов дыхательной цепи – внутренняя митохондриальная мембрана.
Дыхательная цепь включает четыре мультиферментных комплекса (рисунок 8.2).

Рисунок 8.2. Ферментные комплексы дыхательной цепи (обозначены участки сопряжения окисления и фосфорилирования):
I. НАДН-KoQ-редуктаза (содержит промежуточные акцепторы водорода: флавинмононуклеотид и железосерные белки).
II. Сукцинат-KoQ-редуктаза (содержит промежуточные акцепторы водорода: ФАД и железосерные белки).
III. KoQН2-цитохром с-редуктаза (содержит акцепторы электронов: цитохромы b и с1, железосерные белки).
IV. Цитохром с-оксидаза (содержит акцепторы электронов: цитохромы а и а3, ионы меди Cu2+).
8.1.3. В качестве промежуточных переносчиков электронов выступают убихинон (коэнзим Q) и цитохром с.
Убихинон (KoQ) – жирорастворимое витаминоподобное вещество, способен легко диффундировать в гидрофобной фазе внутренней мембраны митохондрий. Биологическая роль коэнзима Q – перенос электронов в дыхательной цепи от флавопротеинов (комплексы I и II) к цитохромам (комплекс III).
Цитохром с – сложный белок, хромопротеин, простетическая группа которого – гем – содержит железо с переменной валентностью (Fe3+ в окисленной форме и Fe2+ в восстановленной форме). Цитохром с является водорастворимым соединением и располагается на периферии внутренней митохондриальной мембраны в гидрофильной фазе. Биологическая роль цитохрома с – перенос электронов в дыхательной цепи от комплекса III к комплексу IV.
8.1.4. Промежуточные переносчики электронов в дыхательной цепи расположены в соответствии с их окислительно-восстановительными потенциалами. В этой последовательности способность отдавать электроны (окисляться) убывает, а способность присоединять электроны (восстанавливаться) возрастает. Наибольшей способности отдавать электроны обладает НАДН, наибольшей способностью присоединять электроны – молекулярный кислород.



На рисунке 8.3 представлено строение реакционноспособного участка некоторых промежуточных переносчиков протонов и электронов в окисленной и восстановленной форме и их взаимопревращение.
Рисунок 8.3. Взаимопревращения окисленных и восстановленных форм промежуточных переносчиков электронов и протонов.
8.1.5. Механизм синтеза АТФ описывает хемиосмотическая теория (автор - П. Митчелл). Согласно этой теории, компоненты дыхательной цепи, расположенные во внутренней митохондриальной мембране, в ходе переноса электронов могут «захватывать» протоны из матрикса митохондрий и передавать их в межмембранное пространство. При этом наружная поверхность внутренней мембраны приобретает положительный заряд, а внутренняя – отрицательный, т.е. создаётся градиент концентрации протонов с более кислым значением рН снаружи. Так возникает трансмембранный потенциал (ΔµН+). Существует три участка дыхательной цепи, на которых он образуется. Эти участки соответствуют I, III и IV комплексам цепи переноса электронов (рисунок 8.4).

Рисунок 8.4. Расположение ферментов дыхательной цепи и АТФ-синтетазы во внутренней мембране митохондрий.

Протоны, выведенные в межмембранное пространство за счёт энергии переноса электронов, снова переходят в митохондриальный матрикс. Этот процесс осуществляется ферментом Н+-зависимой АТФ-синтетазой (Н+-АТФ-азой). Фермент состоит из двух частей (см. рисунок 8.4): водорастворимой каталитической части (F1) и погружённого в мембрану протонного канала (F0). Переход ионов Н+ из области с более высокой в область с более низкой их концентрацией сопровождается выделением свободной энергии, за счёт которой синтезируется АТФ.
Раздел 8.2
Коэффициент фосфорилирования.
8.2.1. Степень сопряжённости окисления и фосфорилирования в митохондриях характеризует коэффициент фосфорилирования (Р/О). Он равен отношению количества молекул неорганического фосфата (Н3РО4), перешедшего в АТФ, к количеству атомов потреблённого кислорода (О2).
Например, если донором водорода для дыхательной цепи является молекула НАДН, то электроны от донора (НАДН) к акцептору (кислород) проходят 3 участка сопряжения окисления и фосфорилирования (I, III и IV ферментные комплексы дыхательной цепи). Таким образом, максимально может образоваться 3 молекулы АТФ (3 АДФ + 3 Н3РО4 → 3 АТФ). Затрачивается 1 атом кислорода (2 Н + О → Н2О). Значение коэффициента Р/О = 3/1 = 3.
Если донором водорода будет молекула ФАДН2, то электроны в дыхательной цепи проходят 2 участка сопряжения окисления и фосфорилирования (III и IV ферментные комплексы дыхательной цепи). Таким образом, максимально может образоваться 2 молекулы АТФ (2 АДФ + 2 Н3РО4 → 2 АТФ). Затрачивается, как и в предыдущем случае, 1 атом кислорода (2 Н + О → Н2О). Значение коэффициента Р/О = 2/1 = 2.
8.2.2. Более сложный пример расчёта коэффициента фосфорилирования – при окислении пирувата до конечных продуктов - показан на рисунке 8.5. В этом метаболическом пути происходит дегидрирование 4 субстратов (пирувата, изоцитрата, α-кетоглутарата и малата) с образованием НАДН и одного субстрата (сукцината) с образованием ФАДН2. Восстановленные коферменты окисляются в дыхательной цепи, и в сопряжённых реакциях фосфорилирования образуется (4×3 АТФ + 1×2 АТФ)=14 молекул АТФ. Ещё 1 молекула АТФ (ГТФ) образуется в реакции субстратного фосфорилирования на уровне сукцинил-КоА. Таким образом, при полном окислении 1 молекулы пирувата образуется 15 молекул АТФ (из них 14 - путём окислительного фосфорилирования).
Чтобы рассчитать количество потреблённого кислорода, нужно знать число реакций дегидрирования на данном участке метаболического пути. Для окисления каждой восстановленной формы кофермента необходим 1 атом кислорода (см. выше). Следовательно, в нашем примере потребляется 5 атомов кислорода. Значение коэффициента Р/О будет равно 14/5 = 2,8.

Рисунок 8.5. Расчёт энергетического баланса реакций окислительного декарбоксилирования пирувата и цикла Кребса.
8.1.6. Энергия, аккумулированная в форме АТФ, используется в организме для обеспечения разнообразных биохимических и физиологических процессов. Запомните основные примеры использования энергии АТФ:
1) синтез сложных химических веществ из более простых (реакции анаболизма);
2) сокращение мышц (механическая работа);
3) образование трансмембранных биопотенциалов;
4) активный транспорт веществ через биологические мембраны.
Раздел 8.3
Разобщение дыхания и фосфорилирования.
8.3.1. Перенос электронов в дыхательной цепи не во всех случаях протекает сопряжённо с фосфорилированием АДФ. Состояние, при котором окисление субстратов в дыхательной цепи происходит, но АТФ при этом не образуется, называется свободным (нефосфорилирующим) окислением. Энергия, выделяемая при окислении, рассеивается в виде теплоты.
В физиологических условиях свободное окисление может служить одним из механизмов терморегуляции. В организме человека и некоторых животных имеется особая ткань – бурый жир, содержащий митохондрии, приспособленные для выработки теплоты. Много бурого жира у новорождённых, в последующие периоды жизни его количество уменьшается. В митохондриях бурого жира содержание дыхательных ферментов значительно выше, чем ферментов, осуществляющих фосфорилирование АДФ, поэтому в них преобладают процессы свободного окисления.
Разобщение процессов окисления и фосфорилирования в митохондриях может иметь место при некоторых патологических состояниях. Основными симптомами таких состояний могут быть быстрая утомляемость, повышенная температура тела, снижение массы тела, несмотря на повышенный аппетит, учащение дыхания и сердцебиения.
8.3.2. Разобщение процессов окисления и фосфорилирования может быть вызвано действием ряда веществ, как природных, так и синтетических. Механизм действия этих веществ заключается в том, что они являются переносчиками протонов через мембрану. Вещества, разобщающие окисление и фосфорилирование, можно разделить на протонофоры и ионофоры.
Протонофоры представляют собой слабые гидрофобные органические кислоты, которые в форме аниона (R-COO-) связывают протоны в межмембранном пространстве, диффундируют через мембрану и диссоциируют в матриксе с образованием протонов. К этой группе относятся, например, свободные жирные кислоты, гормоны щитовидной железы, салицилаты, дикумарол, 2,4-динитрофенол (см. рисунок 8.6).

Рисунок 8.6. Механизм действия 2,4-динитрофенола.
Ионофоры (валиномицин, нигерицин, грамицидин) способны встраиваться в мембрану, образуя канал, по которому могут перемещаться протоны и другие одновалентные катионы - Na+ или K+ (рисунок 8.7). В результате снимается протонный потенциал и нарушается синтез АТФ.

Рисунок 8.7. Валиномицин облегчает проникновение в клетку ионов Н+.
8.4.1. Микросомальное окисление является одним из этапов биотрансформации – обезвреживания неполярных (нерастворимых в воде) соединений как эндогенного происхождения, так и чужеродных для организма (ксенобиотиков). Эндогенные субстраты - холестерол, стероидные гормоны, ненасыщенные жирные кислоты, витамин D3. Экзогенные субстраты - лекарственные вещества. В результате окисления субстратов повышается их растворимость в воде, скорость выведения из организма. Биотрансформация лекарственных веществ, как правило, снижает их токсичность.
8.4.2. Ферментная система микросомального окисления встроена в мембраны эндоплазматического ретикулума клетки (ЭПР, рисунок 8.8).

Рисунок 8.8. Структура эндоплазматического ретикулума (источник: Альбертс Б. и соавт., Молекулярная биология клетки, 1994).
Она представляет собой короткую цепь переноса водорода и включает несколько последовательно расположенных в мембране белков-ферментов (рисунок 8.9).

Рисунок 8.9. Схема монооксигеназной цепи окисления ЭПР.
Источником электронов и протонов в этой цепи является восстановленный кофермент НАДФН, который образуется в реакциях пентозофосфатного пути окисления глюкозы. Промежуточным акцептором Н+ и е— служит флавопротеин (ФлПр), содержащий кофермент ФАД. Конечное звено в цепи микросомального окисления - цитохром Р-450. Это - сложный белок, хромопротеин, в качестве простетической группы содержит гем. Цитохром Р-450 является монооксигеназой, то есть ферментом, включающим один из атомов молекулярного кислорода в окисляемое вещество. Поэтому цепь реакций микросомального окисления называют также монооксигеназной цепью.
Цитохром Р-450 выполняет две функции. Он связывает окисляемый субстрат и активирует молекулярный кислород, облегчая их взаимодействие друг с другом. Реакция, катализируемая цитохромом Р-450, называется реакцией гидроксилирования, так как образующийся продукт содержит ОН-группу (рисунок 8.10).

Рисунок 8.10. Механизм реакции гидроксилирования субстрата при участии цитохрома Р450.
В отличие от митохондриальной дыхательной цепи, при переносе электронов в монооксигеназной цепи не происходит аккумулирования энергии в виде АТФ. Поэтому микросомальное окисление является свободным окислением.
8.4.3. Основные факторы, влияющие на активность монооксигеназной системы печени, которые следует учитывать при выборе дозировки лекарственных веществ:
а) возраст – в детском возрасте и у пожилых людей активность ферментов микросомального окисления ниже, чем у людей среднего возраста;
б) пол – мужские половые гормоны повышают скорость реакций гидроксилирования субстратов в печени, женские половые гормоны, наоборот, понижают;
в) характер питания – при недостаточном поступлении белков с пищей в печени снижается синтез ферментов, участвующих в микросомальном окислении;
г) влияние лекарственных веществ и ядов – некоторые лекарственные препараты (например, фенобарбитал и другие барбитураты, некоторые антибиотики) являются индукторами микросомального окисления и ускоряют процессы гидроксилирования субстратов; другие вещества (угарный газ СО, амизил, дезипрамил) снижают скорость микросомального окисления.
Раздел 9.1
Классификация и функции углеводов.
9.1.1. Углеводы - полигидроксикарбонильные соединения и их производные, Их характерным признаком является наличие альдегидной (-СН=О) или кетонной (>C=O) групп и не менее 2 гидроксильных (-ОН) групп.
9.1.2. По структуре углеводы разделяют на моносахариды, олигосахариды и полисахариды.
Моносахариды – наиболее простые углеводы, не подвергающиеся гидролизу. В зависимости от наличия альдегидной или кетонной группы различают альдозы (например, глюкоза, галактоза, рибоза, глицеральдегид) и кетозы (например, фруктоза, рибулоза, диоксиацетон).
Олигосахариды - углеводы, содержащие от 2 до 10 моносахаридных остатков, соединенных, при помощи гликозидных связей. В зависимости от количества моносахаридных остатков различают дисахариды (содержат 2 остатка, например, лактоза, сахароза, мальтоза), трисахариды (содержат 3 остатка) и.т.д.
Полисахариды - углеводы, содержащие более 10 моносахаридных остатков, соединенных при помощи гликозидных связей. Если полисахарид состоит из одинаковых моносахаридных остатков, то это гомополисахарид (крахмал, гликоген, целлюлоза). Если полисахарид состоит из разных моносахаридных остатков, то это гетерополисахарид (гиалуроновая кислота, хондроитинсерная кислота, гепарин).
Формулы важнейших углеводов представлены на рисунке 9.1.




Рисунок 9.1. Формулы важнейших углеводов.
9.1.3. Функции углеводов. Углеводы выполняют в организме следующие функции:
1. Энергетическая. Углеводы служат источником энергии. За счет их окисления удовлетворяется примерно половина всей потребности человека в энергии. При окислении 1 г углеводов выделяется около 16,9 кДж энергии.
2. Резервная. Крахмал и гликоген представляют собой форму хранения питательных веществ, выполняя функцию временного депо глюкозы.
3. Структурная. Целлюлоза и другие полисахариды растений образуют прочный остов; в комплексе с белками и липидами они входят в состав биомембран всех клеток.
4. Защитная. Кислые гетерополисахариды выполняют роль биологического смазочного материала, выстилая трущиеся поверхности суставов, слизистой пищеварительных путей, носа, бронхов, трахеи и др.
5. Антикоагулянтная. Гепарин обладает важными биологическими свойствами, в частности препятствует свёртыванию крови.
6. Углеводы являются источником углерода, который необходим для синтеза белков, нуклеиновых кислот, липидов и других соединений.
9.1.4. Источником углеводов для организма служат углеводы пищи (крахмал, сахароза, лактоза, глюкоза). Глюкоза может синтезироваться в организме из аминокислот, глицерина, пирувата и лактата (глюконеогенез).
аздел 9.2
Переваривание углеводов в желудочно-кишечном тракте.
9.2.1. Процесс переваривания углеводов представлен на схеме (рисунок 9.2).

Рисунок 9.2. Переваривание углеводов в желудочно-кишечном тракте.
Гидролиз крахмала начинается в ротовой полости. В слюне содержится фермент амилаза, частично расщепляющая крахмал. Основное место переваривания крахмала - тонкий кишечник. Туда поступает амилаза сока поджелудочной железы. Продуктом действия амилазы является мальтоза. Мальтоза далее расщепляется с помощью мальтазы до глюкозы, дисахарид лактоза (содержащаяся в молоке) расщепляется с помощью лактазы до глюкозы и галактозы. Дисахарид сахароза (содержащаяся в пищевом сахаре) расщепляется с помощью сахаразы до глюкозы и фруктозы.
9.2.2. Продукты полного переваривания углеводов - глюкоза, галактоза и фруктоза - через клетки кишечника поступают в кровь путем облегченной диффузии и активного транспорта.
9.2.3. Основные пути метаболизма углеводов в тканях. После всасывания из желудочно-кишечного тракта моносахариды поступают через систему портальной вены в печень. В гепатоцитах происходит превращение галактозы и фруктозы в глюкозу. Таким образом, глюкоза является основным моносахаридом, который поступает в общий кровоток после прохождения углеводов через печень.
Содержание глюкозы в крови здорового человека составляет 3,33 – 5,55 ммоль/л. Глюкоза поглощается из крови клетками всех тканей и органов.
9.2.4. Избыток глюкозы может откладываться в клетках в виде гликогена – резервного полисахарида с разветвлённой структурой.
Окисление глюкозы может происходить дихотомическим и апотомическим путём. Дихотиомическое окисление может происходить без участия кислорода (до молочной кислоты) и при участии кислорода (до СО2 и Н2О). Промежуточные продукты окисления глюкозы, кроме того, могут быть использованы для синтеза глицерола, жирных кислот, аминокислот и нуклеотидов.
В клетках различных тканей интенсивность протекания перечисленных путей обмена глюкозы может быть различной. Эти различия определяются прежде всего функциональными особенностями этих тканей.
Раздел 9.3
Анаэробное окисление глюкозы.
9.3.1. Гликолиз – это ферментативный распад глюкозы до молочной кислоты (лактата). Гликолиз протекает в тканях без потребления кислорода. В анаэробных условиях гликолиз – единственный процесс, поставляющий АТФ, так как окислительное фосфорилирование в этих условиях не функционирует.
Гликолиз протекает в цитоплазме клеток организма. Этот процесс катализируется одиннадцатью ферментами. Условно можно разделить гликолиз на две стадии.

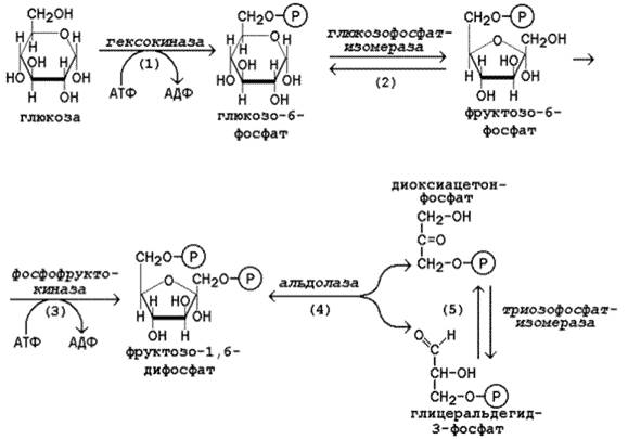
Рисунок 9.3. Реакции первой стадии гликолиза.
9.3.2. Первая стадия гликолиза включает реакции превращения молекулы глюкозы в две молекулы фосфотриоз. Эта стадия сопровождается затратой молекул АТФ.
Начальной реакцией глюкозы в клетке является её фосфорилирование в результате взаимодействия с АТФ (рисунок 9.3, реакция 1). Эта реакция в условиях клетки протекает только в одном направлении. Биологическая роль реакции фосфорилирования глюкозы заключается в том, что глюкозо-6-фосфат, в отличие от свободной глюкозы, не может проникать через клеточную мембрану обратно в кровь. В большинстве тканей реакцию фосфорилирования глюкозы катализирует фермент гексокиназа, которая обладает высоким сродством к глюкозе, способна также фосфорилировать фруктозу и маннозу и ингибируется избытком глюкозо-6-фосфата. В клетках печени, кроме того, есть фермент глюкокиназа, которая имеет низкое сродство к глюкозе, не ингибируется глюкозо-6-фосфатом и не участвует в фосфорилировании других моносахаридов.
В следующей реакции глюкозо-6-фосфат изомеризуется во фруктозо-6-фосфат (рисунок 9.3, реакция 2).
Продукт реакции изомеризации подвергается повторному фосфорилированию за счёт АТФ (рисунок 9.3, реакция 3). Эта реакция – наиболее медленно протекающая реакция гликолиза и, подобно фосфорилированию глюкозы, необратима. Фермент – фосфофруктокиназа – является аллостерическим, активируется АДФ и АМФ, ингибируется цитратом и высокой концентрацией АТФ.
На следующем этапе фруктозо-1,6-дифосфат подвергается расщеплению на две фосфотриозы (рисунок 9.3, реакция 4). Таким образом, химическое соединение, содержащее 6 углеродных атомов, превращается в два, содержащих по 3 атома углерода. Поэтому гликолиз называют дихотомическим путём превращения глюкозы (от слова дихотомия – рассечение на две части).
Далее происходит изомеризация триозофосфатов (рисунок 9.3, реакция 5). В этой реакции диоксиацетонфосфат переходит в глицеральдегид-3-фосфат. Таким образом, в первой стадии гликолиза молекула глюкозы превращается в две молекулы глицеральдегид-3-фосфата.

Рисунок 9.4. Реакции второй стадии гликолиза.
9.9.3. Вторая стадия гликолиза включает реакции превращения двух молекул глицеральдегид-3-фосфата в две молекулы лактата. На этой стадии гликолиза происходит синтез молекул АТФ.
Глицеральдегид-3-фосфат подвергается дегидрированию при участии НАД-зависимой дегидрогеназы. В этой реакции происходит потребление неорганического фосфата, который включается в состав продукта реакции, содержащего макроэргическую фосфатную связь (рисунок 9.4, реакция 6).
1,3-Дифосфоглицерат вступает в реакцию первого субстратного фосфорилирования, т.е. не сопряжённого с переносом электронов в дыхательной цепи. В этой реакции осуществляется синтез молекулы АТФ в результате переноса фосфатной группы вместе с макроэргической связью на молекулу АДФ (рисунок 9.4, реакция 7).
Раздел 9.4
Особенности обмена сахарозы и лактозы.
9.4.1. Сахароза (её формула приводится на рисунке 9.1) в организм человека поступает с пищевым сахаром. Первая стадия катаболизма сахарозы происходит в желудочно-кишечном тракте под действием фермента сахаразы. Вторая стадия катаболизма (образование пирувата) идёт в цитоплазме клеток печени при участии внутриклеточных ферментов (рисунок 9.5).

Рисунок 9.5. Схема катаболизма сахарозы.
В печени имеется фермент фруктокиназа, который катализирует фосфорилирование фруктозы по 1-му атому углерода, реакция происходит с затратой молекулы АТФ. Образующийся фруктозо-1-фосфат расщепляется далее на диоксиацетонфосфат и глицеральдегид. Оба эти продукта переходят в глицеральдегид-3-фосфат – промежуточный продукт, дальнейшие превращения которого в процессе гликолиза описаны в предыдущем параграфе.
При недостатке фруктокиназы нарушается усвоение фруктозы в организме, в крови увеличивается концентрация этого моносахарида и он выводится с мочой.
9.4.2. Лактоза (её формула приводится на рисунке 9.1) поступает в организм с молоком и молочными продуктами. Первая стадия катаболизма лактозы происходит в желудочно-кишечном тракте под действием фермента лактазы. Вторая стадия катаболизма (образование пирувата) идёт в цитоплазме клеток печени при участии внутриклеточных ферментов (рисунок 9.6).

Рисунок 9.6. Схема катаболизма лактозы.
Обмен галактозы начинается с превращения её в галактозо-1-фосфат. Эта реакция катализируется галактокиназой и идёт с использованием энергии АТФ. В следующей реакции при участии гексозофосфат-уридилтрансферазы галактозо-1-фосфат превращается в глюкозо-6-фосфат, одновременно образуется УДФ-галактоза.
Образовавшийся глюкозо-1-фосфат переходит в глюкозо-6-фосфат и подвергается превращениям, описанным в предыдущем параграфе. УДФ-галактоза подвергается эпимеризации с образованием УДФ-глюкозы.
Известны врождённые дефекты ферментов обмена лактозы. Врождённый дефект фермента лактазы приводит к развитию непереносимости лактозы. Употребление в пищу молока сопровождается диспептическими явлениями (рвота, диаррея, метеоризм). Другое наследственное заболевание – галактоземия – возникает при недостатке гексозофосфат-уридил-трансферазы. Для этого заболевания характерно повышение уровня галактозы в крови, катаракта, умственная отсталость.
В следующей реакции происходит внутримолекулярное перемещение фосфатной группы 3-фосфоглицерата ко 2-му углеродному атому (рисунок 4, реакция 8). Тем самым облегчается последующее отщепление молекулы воды, которое приводит к появлению в продукте реакции макроэргической фосфатной связи (рисунок 9.4, реакция 9).
Дата добавления: 2016-04-02; просмотров: 687;
