Расчет цепей несинусоидального тока
Расчет цепи производится для каждой гармоники по модельности. Цепь рассчитывается столько раз, сколько гармоник содержит воздействующее на цепь напряжение. При этом необходимо учитывать ряд особенностей.
Надо иметь в виду, что сопротивление индуктивного элемента возрастает с ростом номера гармоники

а емкостного элемента напротив уменьшается:

Также надо учитывать, что постоянная составляющая тока не проходит через емкость, а индуктивность не представляет для нее сопротивление.
Кроме того, следует не забывать возможные резонансные явления не только на основной гармонике, но и на высших гармониках.
Векторные диаграммы можно строить для каждой гармоники отдельно.
Согласно принципу наложения ток любой ветви может состоять из суммы отдельных слагаемых (нулевой, основной и высших гармоник):

Действующие значение полного тока ветви может быть определено через действующее значение токов отдельных гармоник:

Активная мощность несинусоидального тока равна сумме активных мощностей отдельных гармоник:

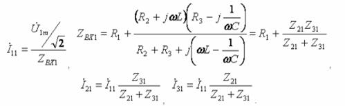
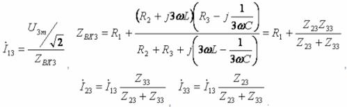
Ниже приводится в общем виде пример расчета цепей несинусоидального тока. Все токи, напряжения, сопротивления будут иметь два индекса: первая цифра означает номер ветви, а вторая цифра – номер гармоники. Входное напряжение:

- Постоянная составляющая


Рисунок 2. Схема цепи
- Основная гармоника:


Рисунок 2. Схема цепи
- Основная гармоника:

- Третья гармоника:

Дата добавления: 2015-11-26; просмотров: 569;
