Ненасыщенные жирные кислоты
| Число атомов углерода, число и положение двойных связей | Ряд | Название | Систематическое название | Распространение |
| Моноевые кислоты (одна двойная связь) | ||||
| 16:1; 9 | w7 | Пальмитолеиновая | цис-9-гексадеценовая | Почти во всех жирах |
| 18:1; 9 | w9 | Олеиновая | цис-9-октадеценовая | Жирная кислота, которая, по-видимому, наиболее часто встречается в природных жирах |
| 18:1; 9 | w9 | Элаидиновая | транс-9-октадеценовая | Жиры жвачных и жиры, подвергнутые гидрогенизации |
| 22:1; 13 | w9 | Эруковая | цис-13-докозеновая | Рапсовое и горчичное масло |
| 24:1; 15 | w9 | Нервоновая | цис-15-тетракозеновая | В цереброзидах |
| Диеновые кислоты (две двойные связи) | ||||
| 18:2; 9, 12 | w6 | Линолевая | полностью цис-9, 12 -октадекадиеновая | Пшеница, арахис, семена хлопчатника, соя и многие растительные масла |
| Триеновые кислоты (три двойные связи) | ||||
| 18:3;6,9, 12 | w6 | g-Линоленовая | полностью цис-6, 9,12 -октадекатриеновая | Некоторые растения (розовое масло), минорнаная жирная кислота у животных |
| 18:3; 9,12, 15 | w3 | a-Линоленовая | полностью цис-, 9,12,15 -октадекатриеновая | Часто обнаруживается вместе с линолевой кислотой, особенно в льняном масле |
Окончание таблицы 9
| Тетраеновые кислоты (четыре двойные связи) | ||||
| 20:4; 5, 8, 11, 14 | w6 | Арахидоновая | полностью цис-5, 8, 11, 14-эйкозатетраеновая | Часто обнаруживается вместе с линолевой кислотой, особенно в арахисовом масле; важный компонент фосфолипидов животных |
| Пентаеновые кислоты (пять двойных связей) | ||||
| 20:5; 5, 8, 11, 14, 17 | w3 | Тимнодоновая | полностью цис-5, 8, 11, 14, 17-эйкозапентаеновая | Важный компонент рыбьего жира (из печени трески) |
| 22:5; 7, 10, 13, 16, 19 | w3 | Клупанодовая | полностью цис-7, 10, 13, 16, 19-докозапентаеновая | Рыбий жир, фосфолипиды мозга |
| Гексаеновые кислоты (шесть двойных связей) | ||||
| 22:6; 4, 7, 10, 13, 16, 19 | w3 | Цервоновая | полностью цис-4, 7, 10, 13, 16, 19-докозагексаеновая | Рыбий жир, фосфолипиды мозга |
Систематическое название жирной кислоты образуется путем добавления к названию углеводорода окончания -овая. Насыщенные кислоты при этом имеют окончание -ановая, а ненасыщенные -еновая. Атомы углерода нумеруются, начиная от карбоксильной группы (содержащий атом углерода 1). Атом углерода, следующий за карбоксильной группой (углерод 2), называют также a-углеродом; атом углерода 3 – это b-углерод, а углерод концевой метильной группы (углерод n) - w-углерод.

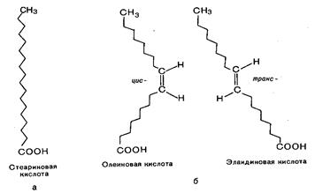
Природные ненасыщенные жирные кислоты имеют цис-конфигурацию и редко транс-конфигурацию (рис). Цис-изомеры имеют более низкую температуру плавлению. Цис-конфигурация делает насыщенную кислоту менее стабильной и более подверженной катаболизму.

Физиологические свойства липидов зависят в основном от длины углеродных цепей и степени насыщенности соответствующих жирных кислот. Точка плавления жирных кислот с четным числом атомов углерода повышается с ростом длины цепи и понижается при увеличении степени ненасыщенности.
Природные ацилглицеролы содержат смесь жирных кислот, обеспечивающую выполнение определенной функциональной роли. Мембранные липиды, которые должны находиться в жидком состоянии, являются ненасыщенными по сравнению с запасными. В тканях, подвергающихся охлаждению – во время зимней спячки или экстремальных условиях, – липиды оказываются более ненасыщенными.
Дата добавления: 2015-07-06; просмотров: 2284;
