Олигосахариды
Олигосахариды – углеводы, молекулы которых содержат от 2 до 10 остатков моносахаридов, соединенных гликозидными связями. В соответствии с этим различают дисахариды, трисахариды и т.д.
Дисахариды – сложные сахара, каждая молекула которых при гидролизе распадается на две молекулы моносахаридов. Представителями дисахаридов являются сахароза, мальтоза, лактоза, целлобиоза и др. Сахароза (С12Н22О11) широко распространена в растениях, особенно много ее в корнеплодах свеклы (от 14 до 20% сухой массы), а также в стеблях сахарного тростника (массовая доля сахарозы от 14 до 25%).
Сахароза состоит из a-D-глюкопиранозы и b-D-фруктофуранозы, соединенных a1 ® b2-связью за счет гликозидных гидроксилов:

Сахароза не содержит свободного гликозидного гидроксила, является невосстанавливающим сахаром, поэтому относительно химически инертна. Сахароза является транспортным сахаром, в виде которого углерод и энергия транспортируются по растению. Именно в виде сахарозы углеводы перемещаются из мест синтеза (листья) к месту, где они откладываются про запас (плоды, корнеплоды, семена, стебли).
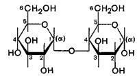
Мальтоза (С12Н22О11) состоит из двух остатков a-D-глюкопиранозы, соединенных гликозидной связью a1 ® 4:

Мальтоза в свободном состоянии в растениях содержится в небольшом количестве, но появляется при прорастании, так как она образуется при гидролитическом расщеплении крахмала. В нормальном зерне и муке она отсутствует. Большое количество мальтозы содержится в солоде, который применяется в пивоварении, поэтому мальтозу называют также солодовым сахаром.
Лактоза (С12 Н22 О11) построена из b-D-галактопиранозы и a-D-глюкопиранозы, соединенных b1 ® 4-гликозидной связью:

В растениях встречается редко. В большом количестве лактоза содержится в молоке, поэтому ее называют молочным сахаром. Это восстанавливающий сахар со слабым сладким вкусом. Сбраживается лактозными дрожжами до молочной кислоты.
Целлобиоза (С12Н22О11) состоит из двух остатков b-D-глюкопиранозы, соединенных b1 ® 4- гликозидной связью.
Целлобиоза служит структурным компонентом полисахарида целлюлозы и образуется из нее при гидролизе под действием фермента целлюлазы. Этот фермент продуцируется рядом микроорганизмов; активен в прорастающих семенах.
Дата добавления: 2015-07-06; просмотров: 1160;
