Нерівність Бесселя
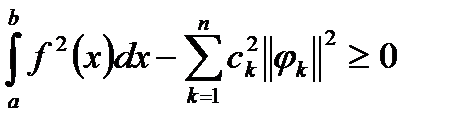
Ліва частина в рівності (1) невід’ємна, тому невідємною буде і права частина:
,
Тоді
. (2)
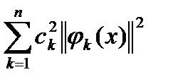
Ліва частина останньої нерівності
- це n-а зрізана сума числового ряду
з додатними членами. Нерівність (2) говоре про обмеженість зверху всієї послідовності зрізаних сум ряду
, тобто про його збіжність. Тоді якщо перейти до границі в нерівності (2) при
, отримаємо:

- нерівність Бесселя.
Питання
1. Визначення квадратичного відхилення між функціями.
2. Властивості квадратичного відхилення між функціями.
3. Яка функція називається многочленом по ортогональній системі
?
4. Сформулювати задачу про найменше квадратичне відхилення.
5. Яка функція називається многочленом Фурьє по ортогональній системі
?
6. Вивести тотожність Бесселя.
7.Вивести нерівність Бесселя.
Дата добавления: 2015-08-21; просмотров: 1203;
