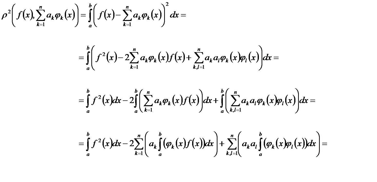
Тождество Бесселя
Задача. Пусть
,
- ортогональная система функций в
. Необходимо выяснить, при каких значениях
квадратичное отклонение

будет наименьшим.
Для решения поставленной задачи удобнее рассматривать
:



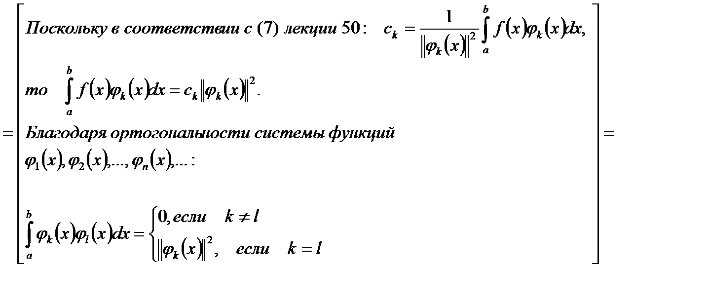
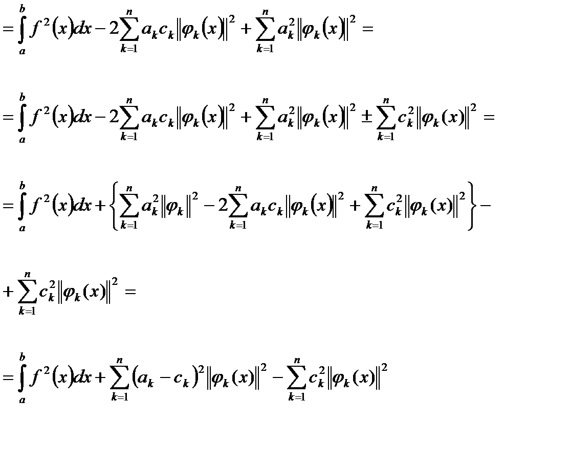
Из последнего равенства понятно, что минимум квадратичного отклонения имеем тогда, когда
. Тогда
. (1)
Определение 3. Многочлен
,
где
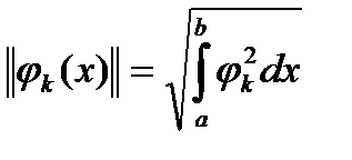
(т.е. определяются по формуле (7) лекции 50),
, называется многочленом Фурье по ортогональной системе
.
Вывод. Наименьшее квадратичное отклонение функция
имеет от многочлена Фурье.
Равенство (1) называется тождеством Бесселя.
Дата добавления: 2015-08-21; просмотров: 2689;
