Понятие дифференциала функции
Пусть функция
определена на
,
,
дифференцируема в точке
, т.е. в окрестности точки
представляется согласно (5):
.
Разность
называется приращением функции в точке
, а
приращением аргумента. В принятых обозначениях предыдущая формула будет иметь вид:

Определение 5. Дифференциалом функции
в точке
называется линейная функция
.
Дифференциал - это линейная часть приращения функции. Дифференциал функции сам является функцией.
Приращение аргумента
также называют дифференциалом независимой переменной
и обозначают:
.
Тогда
.
Пример. Найти дифференциал функции
в произвольной точке
. Для этого надо:
1. Найти выражение для приращения функции в точке
;
2. В выражении для приращения функции в точке
найти линейную часть, т.е. ту часть, которая содержит
в первой степени;
3. Для той части приращения функции, которая осталась после выделения линейной части, доказать, что она является бесконечно малой, порядка высшего, чем
, когда
;
4. Если третий шаг выполнен, то линейная часть приращения функции, найденная на втором шаге, и является дифференциалом функции в точке
.
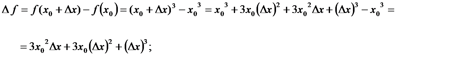
Проделаем последовательно действия всех четырех шагов для функции
:
1. 
2. Линейная часть полученного приращения функции
- это
. В этом слагаемом
находится в первой степени, а в других слагаемых -
и
показатели степени при
соответственно 2 и 3.
3. После выделения линейной части приращения осталось:
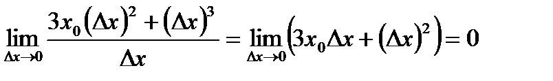
. Проверим, что
. Для этого вычислим:
.
Поскольку вычисленный предел равняется 0, то действительно
.
Таким образом
.
Дата добавления: 2015-08-21; просмотров: 680;
