Спектральные плотности реализации.
Рассмотрим стационарный случайный процесс X(t), с первым математическим ожиданием
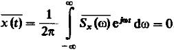
Саму функцию модно найти с помощью обратного преобразования Фурье:
(1)
Свойства случайной спектральной.
Усредним значения сигналов по ансамблю реализации:
(2)
Т.к. сигнал вещественный, то
(3)
И 
Во внутреннем подынтегральном выражении содержится множитель
, который имеет смысл функции корреляции случайной спектральной плотности, чтобы
не зависело отt необходимо:
(5) такой вид корреляционной связи называется – дельта- коррелированностью.
Дата добавления: 2015-08-14; просмотров: 883;
